Free fraction worksheets with answer key. No login or account needed. From simplifying fractions to adding and subtracting fractions with like and unlike denominators, we've got you covered. A grading column and quick grade scale maker grading a breeze and a modified pages help with lower level learners or when just introducing a topic. Great for teachers or for homeschool.
Browse Sheets By Problem Type
×
Introduction to Fractions
Link
1g3

×
Description:
"This worksheet is designed to enhance understanding of naming fractions in mathematics for children. It includes 9 problems, presenting three fraction options and testing identification skills. From one-quarter to four-quarters, children learn to distinguish different fractions. The worksheet is versatile – easily customizable, convertible into flash cards, or utilized in distance learning environments, making it a useful tool for both home and classroom education."

×
Student Goals:
Improve Numeracy SkillsUpon completion of the 'Naming Fractions' worksheet, students should be able to demonstrate improved numeracy skills. They will have developed a better understanding of various fractions and their names, a foundational skill in mathematics learning.Identification of FractionsStudents will be able to identify different fractions confidently. They'll be able to understand and differentiate between one half, one quarter, three quarters, and other fractions. Their ability to recognize these fractions by name will be enhanced.Understanding Fraction ConceptsThe completion of the worksheet will provide students with a more grounded comprehension of fraction concepts. They will be well equipped to understand fractions as parts of a whole, enhancing their critical thinking abilities in mathematical problems.Boosting Problem-Solving AbilitiesBy working through the 'Naming Fractions' worksheet, students will have practiced and developed their problem-solving abilities. This process ensures they can apply their knowledge of fractions to resolve similar problems successfully.Building ConfidenceSuccessfully completing the worksheet will build the students' confidence in dealing with mathematical problems involving fractions. It will also foster a positive attitude towards math as they witness their own growth and development.Preparation for More Complex ProblemsThis worksheet will prepare students to tackle more complex mathematical problems. Understanding the names and values of common fractions is an important stepping stone towards dealing with more complicated fraction problems and equations, positioning them well for future learning.Acquiring Consistency & SpeedSolving similar types of problems repeatedly through the 'Naming Fractions' worksheet will not only bring consistency in recognizing and naming the fractions swiftly, but it will also help students to increase their speed in solving such problems.
2g3

×
Description:
"This worksheet is designed to enhance children's understanding of fractions. Each of the 12 math problems prompts them to correctly name different fractions, reinforcing the concept. The worksheet is versatile as it can be tailored to each individual learner, converted into flashcards, or integrated into distance learning programs, making it a valuable tool for both teachers and students alike."

×
Student Goals:
Understanding Fraction BasicsUpon completion of this worksheet, students will gain a solid foundation in understanding the basics of fractions. They will be able to name frequently used fractions in their simplest form as well as in other equivalent forms. Fractions including halves, thirds, and quarters will be familiar terms for them, therefore, paving the way for more complex fraction problems.Ability to Identify Equivalent FractionsChildren will acquire the ability to identify equivalent fractions, a critical component in the broader world of fractions. They would be able to recognize that two halves are equivalent to one whole or four quarters, thus establishing core knowledge that will help in the understanding of fraction simplification in future lessons.Boosting Critical ThinkingIn addition, the worksheet will serve as a tool for sharpening the pupils' critical thinking skills. They will be required to apply logic in determining the correct answers, a skill that extends beyond math, and is applicable to several other academic disciplines and life situations. This thereby nurtures a generation of thorough thinkers capable of making logical decisions.Confidence With FractionsAfter working through this worksheet, students should feel a gain in confidence in dealing with fractions. The understanding that they will develop from this exercise will eliminate any feeling of intimidation that fractions might have precipitated initially. This confidence is essential in propelling their interest in further math-related activities, as a strong mathematical foundation can be pivotal to success in various professional fields.Preparation For Advanced MathematicsLastly, the knowledge and skills garnered from this worksheet will put students on sure footing for more advanced math topics. They will be better prepared to tackle complex tasks involving fractions such as adding, subtracting, multiplying, and dividing fractions. Essentially, this worksheet serves as an important steppingstone on their math learning journey.
3nf1

×
Description:
"This worksheet is designed to strengthen children's understanding of writing fractions. It contains 18 problems focusing on various aspects of the subject matter, creating an interactive and engaging learning experience in math. The worksheet is customizable, perfect for transforming into flash cards, and aligns seamlessly with distance learning needs. This resource simplifies the concept of fractions, making learning mathematics an enjoyable and productive process."

×
Student Goals:
Understand Basic Concepts of FractionsUpon completion of this worksheet, students should have a solid understanding of the basic concepts of fractions. They should be able to identify the numerator and denominator of a fraction and understand what these components represent. This foundational knowledge of fractions is integral to further mathematical learning and can be applied to more advanced concepts such as ratio and proportion.Perform Basic Fraction OperationsStudents should also be able to perform basic operations with fractions such as addition, subtraction, multiplication, and division. They should understand when these operations are applicable and how to execute them correctly. This acquired capability will enable students to solve an array of mathematical problems using fractions, contributing to their overall math proficiency.Simplify FractionsAnother accomplishment students should gain from completing the worksheet is the ability to simplify fractions. This means students will know how to identify and create equivalent fractions, a crucial skill that simplifies calculation and aids in comprehending more complex mathematical relations involving fractions. With this skill, fractions can be manipulated with increased efficiency, thus eliminating unnecessary complexities.Use Fractions in Practical SituationsBeing able to apply fractions to practical situations is another accomplishment students should achieve. This means using fraction-based problems to represent and solve real-world scenarios. This practical application will not only further students' understanding of fractions in a tangible context but also cultivate a connection between their mathematical learning and daily life.Display Kindergarten ReadinessLastly, completion of this worksheet should assist the student in exhibiting readiness for next-level mathematics. This means progressing towards being adequately equipped with the knowledge and skills necessary to tackle more complicated fraction-related problems as they advance in their academic journey. With this accomplished, students will be prepared to face challenges with confidence and competence.
3nf1

×
Description:
"This worksheet is designed to help children identify fractions through a series of 12 math problems. The interactive format allows the child to choose from multiple answers, enhancing understanding of the concept. Adaptable for diverse learning formats, the worksheet can be customized, converted into flash cards, or utilized in a distance learning environment for an engaging study experience."

×
Student Goals:
Understanding of FractionsBy the end of this worksheet, students should have a clear understanding of basic fractions. They will be able to correctly identify various fractions when presented with visual or numerical options. This understanding forms the foundation for more complex operations with fractions.Mathematical ConfidenceStudents should gain confidence in their mathematical abilities, particularly in dealing with fractions. A solid grip on the concept of fractions plays a major role in many mathematical calculations involved in everyday life. Having this confidence early on would augur well for their overall mathematical ability.Problem-Solving SkillsThe completion of this worksheet helps improve students' problem-solving skills. While the focus is on fractions, the skills acquired can translate to other aspects of problem-solving. This ability to choose the correct answer from multiple options aids in the development of critical thinking.Visual InterpretationStudents should also enhance their visual interpretation skills. The ability to visually represent fractions is a skill on its own, beyond just mathematical ability. It serves as a bridge between the abstract idea of fractions and their more concrete representations.Application SkillsAfter successfully finishing this worksheet, learners should be able to apply their acquired skills in real-life scenarios. Recognizing fractions is an advantage in everyday scenarios, like reading a clock, dividing resources, identifying car speeds on road signs, etc. This direct application of academic learning to life skills is an essential factor that education aims to achieve.Preparation for Advanced TopicsUnderstanding fractions is just the tip of the iceberg. Once students have a grasp of this concept, they are more prepared to tackle advanced mathematical topics such as decimal points, percentages, ratio and proportion, etc. This worksheet serves as a stepping stone to these more advanced topics, thereby enriching students' mathematical journey.
3g2

×
Description:
"This worksheet is designed to enhance children's understanding of shape partitioning in math. The 9-problem set involves dividing different shapes into 2, 3, 4, 6, or 8 equal parts, reinforcing the concept of fractions. Customizable for diverse learning needs, the worksheet can also be converted into flashcards or utilized in distance learning environments to support flexible, interactive education."

×
Student Goals:
Understanding of Mathematical PartitioningUpon completion of the worksheet, students can gain a comprehensive understanding of mathematical partitioning. They should be capable of dividing shapes into equal pieces, showcasing an understanding of fair sharing and equal distribution - fundamental mathematical concepts. Students also learn to identify fractions as they label each part of the divided shape, therein making the connection between partitioned shapes and their numerical representation in fractions.Recognition and Comparison of FractionsThe skills acquired from this worksheet extend to the recognition and comparison of fractions. With varying problems that require splitting shapes into different quantity of parts - such as halves, thirds, quarters, sixths, and eighths - students will become adept at identifying these common fractions. In comparing these fractions visually, they may also begin to intuitively understand the core concept that different fractions can represent the same proportional quantity, riding the leap from concrete to abstract thinking in mathematics.Development of Fine Motor SkillsCompleting this worksheet also aids in the development of students' fine motor skills. Through drawing and partitioning shapes, students will showcase and enhance not only their mathematical understanding, but also their control, precision, and coordination in a fun and engaging way. This in turn, plays a pivotal role in the improvement of handwriting skills, dexterity, and speed in tasks that involve the hands.Problem Solving and Logical ReasoningAnother key accomplishment from this worksheet involves problem solving and logical reasoning. It promotes students to think critically on how to divide each shape evenly and use logical reasoning to ensure that each section represents the correct fractional part. This helps improve their capacity for strategic planning, and analytical thinking, creating a robust foundation for other areas of learning.Confidence in Mathematical MasteryLast but certainly not least, students upon completing the worksheet should experience a significant boost in mathematical confidence and self-efficacy. By successfully partitioning shapes and mapping them to the correct fractions, students gain tangible proof of their mathematical prowess and progress, thereby motivating them to tackle more complex mathematical concepts. The sense of accomplishment from completing the worksheet can thus serve as a powerful intrinsic motivator in their continued mathematical journey.
3g2

×
Description:
"This worksheet is designed to enhance children's understanding of partitioned shapes in mathematics. It comprises 8 interactive problems, promoting active learning in recognizing and differentiating various segmented shapes. Utilized as customizable flash cards, it serves as a fun and engaging tool for both classroom and distance learning. This versatile worksheet offers a dynamic approach to math education, fostering improved comprehension and retention.".

×
Student Goals:
Shape IdentificationAfter completing this worksheet, students should be able to identify a variety of partitioned shapes with increased accuracy and confidence. This process will help boost their geometric awareness and visual discrimination skills.Spatial UnderstandingBy working through spatially-oriented problems, students improve their ability to perceive and understand the spatial relationships among shapes. This skill is foundational in many areas, including higher mathematics, engineering and day-to-day spatial tasks.Critical ThinkingThis worksheet provides an opportunity for students to enhance their critical thinking skills. They will need to apply logic and reason, deducing the nature of the different partitioned shapes presented to them. Over time, this practice can lead to improved problem-solving abilities.Memory RecallStudents will exercise their recall skills in this worksheet. By identifying partitioned shapes that they've studied before, they strengthen their memory recall capabilities, which are essential in many learning environments and real-life scenarios.Pattern RecognitionThis exercise also promotes pattern recognition, a critical skill in mathematics and sciences. Recognizing patterns in shapes or sequences helps child to predict and understand natural and mathematical phenomena.Perseverance & ResilienceIn striving to solve the problems on this worksheet, students learn the importance of perseverance and building resilience. They are likely to encounter difficulties along the way, but these challenges will serve to motivate them to press on, thereby fostering a growth mindset.Application of KnowledgeCompleting this worksheet enables students to put into practice the knowledge they have learned in class. By actively engaging with the lesson content in a practical manner, they are more likely to internalize and retain the concepts and principles taught, leading to a deeper understanding of the subject matter.Mathematics AppreciationIn identifying and categorizing different partitioned shapes, students are exposed to the beauty and diversity of geometrical figures and the world of mathematics. This could potentially spur their interest and positively influence their attitude towards the subject.
3nf3d

×
Description:
"This worksheet is designed to help children grasp the concept of zero, half, and whole numbers in mathematics. With 20 customizable problems, it conveys understanding via visual fraction representations. Perfect for online or distance learning, the worksheet can also be converted into flashcards for a hands-on learning experience. Engaging for all learners, it makes mastering this essential math skill both accessible and enjoyable."

×
Student Goals:
Understanding of Fundamental ConceptsStudents completing this worksheet should have gained a solid understanding of fundamental mathematical concepts, specifically those related to fractions. With a focus on halves, wholes, and zeros, students will have a deeper comprehension of how these different components function within the broader context of mathematical operations.Problem Solving AbilitySuccessfully finishing this worksheet suggests students are able to approach and solve problems effectively. These math-based exercises will have required high level of logical thinking, precision, and a strategic approach to problem-solving. Completion of this task will have helped to develop these skills, fostering confidence and competency in not just mathematics, but also in a myriad of other areas that require problem-solving ability.Fraction ComprehensionThe worksheet ensures students are adept at evaluating and understanding the idea of a 'half' and 'whole' when dealing with numbers. The skills to determine and differentiate zeroes, halves and whole numbers from a given set, will aid them in further algebraic calculations and mathematical tasks involving fractions and rational numbers.Numerical FluencyAs students complete the worksheet, they'll enhance their numerical fluency, gaining the ability to swiftly and accurately go through numerical information and interpret it. This proficiency is fundamental in both, day-to-day life and academic studies, developing the student's overall mathematical competence.Critical Thinking and Analytical SkillsCompletion of this worksheet will also manifest students' abilities to critically analyze and comprehend mathematical problems, applying learned concepts to evaluate and solve them. Such skills will improve their analytical thinking in a way that is translatable not only in math, but also in various other academic and real-world scenarios.Preparation for Advanced MathematicsThe understanding of basic fractions and numbers achieved from this worksheet will lay a solid groundwork for students as they advance to higher mathematical concepts. It will provide them with the necessary confidence and knowledge to tackle complex mathematical theories and problems in the future.
5nf3

×
Description:
"This worksheet is designed to enhance children's understanding of fraction values in math. It contains 20 problems involving the identification and interpretation of fractions. Examples include deciphering fraction values like 37/6, 84/9, and 76/7. The worksheet is customizable, can be converted into flashcards for effective learning, and is suitable for distance education, facilitating flexible learning environments."

×
Student Goals:
Understanding of FractionsUpon completion of this math worksheet, students will have developed a deeper understanding of fractions. They will have enhanced their knowledge on fraction values, and what these values signify in mathematical terms. They will comprehend how fractions represent part of a whole, and their use in different mathematical contexts.Critical Thinking and Problem-Solving SkillsStudents will have nurtured their critical thinking skills and problem-solving prowess. Converting fractions into simpler formats and comparing fraction sizes presents a good challenge to the young minds which aids in the development of these skills. Identifying patterns and deducing the easiest methods to solve these problems are valuable skills that will take them far beyond this specific math worksheet.Enhanced Numeracy SkillsThis worksheet will significantly beef up students' numeracy skills. By working through the problems dealing with fractions, students will establish and enhance their numerical literacy, important for their overall mathematical competency. This worksheet is designed to help them comprehend the foundational components of fractions and how to manipulate them mathematically.Acquisition of Practical SkillsWith this worksheet, students will acquire practical skills that will be used in their everyday lives. Understanding how to evaluate and use fractions is a vital element of practical routines such as cooking, financial planning, technical measurements and more. The understanding of this basic mathematic concept will prepare the students for these real-life mathematic applications.Improved Confidence in MathLastly, upon finishing the worksheet, students should have grown in their confidence in tackling math problems. Mastering each math unit injects confidence into students, making them more comfortable and less intimidated with numbers. Thus, they will be inclined to explore more complex mathematical concepts, fostering a habit of curiosity and lifelong learning.

×
Description:
"This worksheet is designed to enhance children's understanding of comparing fractions and their relative sizes. It includes fifteen practical math problems, asking students to discern differences in part-to-whole relationships. Examples involve everyday scenarios like comparing a fullness of dump trucks or water in swimming pools. Flexible and adaptable, this worksheet can be customized or transformed into flashcards, making it ideal for distance learning. It's a versatile tool to make math easily relatable and enjoyable for children."

×
Student Goals:
Understanding of FractionsStudents will gain a strong understanding of fractions and conceptually visualize the relative sizes of fractions. They will be able to identify which fractions are larger or smaller and apply these concepts in the context of relevant real life scenarios, fostering their reasoning skills.Application of Math in Real LifeThe learners will establish the practical significance of fractions by connecting them to everyday situations like time spent, distance covered, and quantities compared. They will perceive the vast application of the learned skills beyond the educational context, boosting their interest in mathematics.Enhanced Problem-Solving AbilitiesStudents will develop and boost their problem-solving skills by comparing fractions in various situations and conditions. They will independently evaluate given scenarios, process information, and draw logical conclusions. The practice would enable them to make appropriate mathematical judgments and decisions.Comparison and Relation of QuantitiesUpon completion of this worksheet, students will have improved their ability to compare and relate different quantities using fractions. This understanding will extend to interpreting how changes in one quantity can impact another and the consequences thereof, which is a key component in analytical thinking.Better Numerical FluencyLearners will demonstrate an improved capability to work with fractions, reinforcing their numerical fluency. By constantly interpreting, manipulating, and comparing fractions, students will enhance their mental arithmetic and detail-orientation, contributing to their overall mathematical adeptness.Deepens Critical ThinkingThe task exposed students to the realm of critical thinking. The process of interpreting numbers, relating fractions, and making comparisons enhances their cognitive skills. Over time, they will implicitly hone their ability to analyze, evaluate, and form judgements based on the problems they try to solve.Understanding Unit ConversionThrough these problems, students will understand the importance and relevance of correct unit conversion. Distinctions between different units of measure, such as grams versus kilograms, play a crucial role in the exercises. It will improve their ability to convert units and grasp the variations in scales and measurements.

×
Description:
"This worksheet is designed to boost children's understanding of math, specifically fractions and their representation of whole numbers. It contains 11 problems which involve expressing various shapes such as squares, circles, triangles, stars, and hearts as fractions of an entire set. This worksheet's versatile format allows for customization and can be converted into flashcards, making it a valuable resource for distance learning."

×
Student Goals:
Understanding FractionsUpon completion of the worksheet, students should have a solid grasp of fractions. They should understand that a fraction represents a part of a whole. Students should be able to identify a fraction as a number on the number line and represent fractions visually. They should be able to distinguish and express parts of a whole as fractions, further developing their number sense and foundational math skills.Analyzing ShapesIn conjunction with understanding of fractions, students should also improve their geometric skills. By identifying and analysing different shapes such as circles, pentagons, stars, hearts, and moons in the problems, students reinforce their knowledge of basic shapes while strengthening their analytical and problem-solving abilities.Fraction ComputationsStudents will be equipped with the skills needed to perform calculations using fractions including addition, subtraction, comparison and equivalence of fractions. They will understand the relationship between numerators and denominators, and will know how to express one quantity as a fraction of another quantity. This knowledge will be fundamental for their further studies in mathematics.Critical Thinking SkillsCompleting the worksheet boosts students' critical thinking skills. Each problem requires students to apply knowledge of fractions and geometric shapes to a real-world context. This promotes analytical thinking and problem-solving skills, preparing students not only for more complex mathematics but also for decision-making processes in everyday life.Confidence in MathLastly, successfully completing the worksheet will breed confidence in the students' mathematical abilities. As they work through the problems and see their ability to solve them correctly, they will become more comfortable with fractions and math in general. The feeling of accomplishment they get after correctly completing this worksheet will motivate them to take on more challenging math problems in the future.

×
Description:
"This worksheet is designed to help children grasp the concept of finding reciprocals in math. With a total of 19 problems, it utilizes interactive content, such as fraction tables, to present examples and ensure understanding. The worksheet is customizable for diverse learning needs, can be transformed into flashcards for easy revision, and is perfectly suited for use in distance learning contexts."

×
Student Goals:
Understand the Concept of ReciprocalsAfter completing this worksheet, students should be able to grasp the concept of reciprocals, understanding that a reciprocal of a number is one divided by that number. This foundational knowledge will equip them to handle advanced mathematical problems in the future.Apply Reciprocal Concepts PracticallyThe worksheet will teach students how to practically find and apply reciprocals. They will learn how to find the reciprocal of a whole number and a fraction, and also apply it by confirming that the product of a number and its reciprocal equals one. This will foster their problem-solving skills.Improve Mental Math SkillsBy routinely finding reciprocals, students will sharpen their mental math skills. Students will develop a quicker and more accurate mental calculation ability, as reciprocals demand the understanding and application of division and multiplication concepts. This skill will be beneficial beyond the math classroom.Develop Logical ReasoningThe process of solving reciprocal problems involves logical reasoning. Consequently, students who can work through these problems are honing their logical reasoning abilities. This improvement can contribute significantly to their overall cognitive development and academic success in different subjects that involve logical thinking.Build Confidence in MathematicsThis worksheet will play a crucial role in building students' overall confidence in mathematics. By successfully finding reciprocals and understanding the logic behind them, students will feel more confident and enthusiastic about tackling more challenging concepts in mathematics. This increased confidence will likely improve their general performance in the subject.Prepare for Advanced Mathematical ConceptsUnderstanding reciprocals is essential in various advanced mathematical concepts such as algebra, calculus, and complex number theory among others. Therefore, completing these reciprocal problems will prepare students for more advanced studies in their future academic endeavors. It equips the students with a strong mathematical foundation for higher learning.

×
Description:
"This worksheet is designed to enhance children's understanding of adding fractions to make a whole. It offers 20 interactive problems that involve filling in missing parts to total one, leveraging both proper fractions and mixed numbers. The problems can be adapted to varying skill levels, offering a customizable resource perfect for in-person instruction or distance learning. Furthermore, the problems can easily be converted into flash cards for additional practice."

×
Student Goals:
Develop Mathematical SkillsUpon completing this worksheet, students should have made substantial progress in developing their fundamental math skills. This step towards perfection is crucial, particularly in addition that forms the basis for more complex mathematical concepts. Students will be comfortable dealing with numbers and have a deeper understanding of the concept of 'one whole' in mathematics, thereby building a strong foundation in the subject.Boost Problem Solving AbilitySuccessfully tackling all problems on the worksheet tasks students with learning to quickly identify patterns, employ logical reasoning, and find solutions. This cultivates a superior problem-solving approach in students, to be applied not just in math, but in various areas of life and study. The acquired skills encourage the ability to autonomously tackle new problems with increased confidence and precision.Understanding FractionsBy completing the exercises presented in the worksheet, students will have significantly improved their understanding of fractions. They will be able to add fractions to make up one whole, even when fraction denominators are different, a key skill in elementary math education. This paves the pathway for grasping more complex concepts like multiplication and division of fractions, ratio, and proportion in the future.Knowledge ApplicationUpon completion, students should be competent in properly applying their newfound knowledge to real-world scenarios. Be it telling time, cooking, or other practical situations where fractions play a huge role, they should be able to confidently use their skills to make calculations. This infuses math learning with more significance and relevance by appreciating its everyday application.Enhance Logical ThinkingSolving the problems in this worksheet helps in refining cognitive abilities, boosting logical thinking and promoting careful calculation in students. As they navigate through the varying complexities of each problem, they will learn to break down tasks into smaller, manageable parts, thereby building upon their strategic thinking abilities.Increase ConfidenceFinally, after acing all the problems in this worksheet, the students should be able to approach mathematical challenges with increased self-assurance. This sense of achievement promotes a positive learning environment, encourages further learning, and sets them up for future academic success. It helps them believe in their ability to handle more challenging problems ahead.

×
Description:
This worksheet is designed to aid children in understanding and expressing fractions numerically. It offers 14 unique problems, embedded with graphical illustrations, to clarify the concepts of fractions. Adaptable to individual needs, the content can be customized into flash cards or used for distance learning, offering flexibility in imparting the essential math skills. This ready-to-use resource facilitates efficient and effective learning, making fractions simpler and more engaging.

×
Student Goals:
Grow Math SkillsUpon successfully completing the 'Expressing Fractions Numerically' worksheet, students should have significantly honed their mathematical skills. By comprehending fractions and their numerical expressions thoroughly, they'll be able to solve complex math problems more effortlessly, enhancing their overall problem-solving abilities.Master FractionsThis worksheet is primarily designed to instill a concrete understanding of fractions in children. After finishing this worksheet, students should be able to express fractions numerically with ease and precision, hence mastering the fundamentals of fractions.Develop ConfidenceMathematics, being a fundamental subject, can sometimes be overwhelming for the children. However, successfully accomplishing this worksheet on 'Expressing Fractions Numerically' can boost their confidence. Finishing these 14 problems can make them more self-assured and comfortable in tackling more complex mathematical problems in the future.Improve Cognitive SkillsPracticing fractions numerically would help students improve their cognitive skills. Solving these problems requires analysis, logical reasoning, and computation, all of which are crucial for cognitive development. The experience gained through this learning process is invaluable in sharpening their minds and their ability to understand complex concepts.Prepare for Advanced MathThe understanding and mastery over fractional numbers act as a stepping stone toward the more advanced mathematical concepts. After completing the worksheet, students will be well on their way to dealing with hard topics, providing them with a solid foundation in the subject of Mathematics.Enhance Time Management SkillsBy tackling these 14 problems, children would inadvertently be enhancing their time management skills. As students work through the sheet, they'll get better at calculating how much time they need to allocate for each problem, which is a skill not just applicable to math, but to life in general.

×
Description:
"This worksheet is designed to enhance children's understanding of fractions through visual representation. It features 14 math problems using interactive shapes, helping kids express fractions as words. Perfect for distance learning, the worksheet can be customized to match individual learning speeds and converted into flash cards for easy recall. A versatile tool promoting effective and fun learning of fundamental math concepts."

×
Student Goals:
Master key math skillsAfter completing this worksheet, students should have honed their critical math skills, specifically the ability to express fractions in verbal form. This skill is essential in math and can be applied in numerous real-life situations, making it an essential tool in their arsenal of mathematical knowledge.Develop problem-solving capabilitiesEach of the 14 problems presented in the worksheet are designed to challenge students and make them think. The process of solving these problems can help them develop problem-solving capabilities, which are crucial not only in math but in daily life as well.Boost confidenceSuccessfully completing the worksheet and getting the correct answers will give students a confidence boost. It shows them that they can tackle complex problems and come up with the correct answer, which can lead to increased self-confidence when they encounter similar types of problems in the future.Improve concept comprehensionUpon completing this worksheet, students should have a stronger grasp of how to express fractions as words. This includes understanding the rules and conventions that govern how fractions are verbalized, allowing them to accurately and confidently express fractions both in writing and in conversation.Enhance attention to detailThe processes involved in math require a high level of attention to detail. As students work through the problems on this worksheet, they’ll need to pay careful attention to each step to ensure they get the correct answer. This practice can help improve their overall attention to detail.Nurture perseveranceMathematics can be challenging, and it can take numerous attempts to solve a problem correctly. By working through the problems on this worksheet, students get the opportunity to nurture a sense of perseverance. They’ll learn the value of patience and persistence in finding the correct answer.Enhance mathematical fluencyThis worksheet provides students with the opportunity to enhance their mathematical fluency. By continuously practicing and mastering such key skills, they lay a firm foundation for advanced mathematical operations, opening doors to a wide range of learning possibilities in the future.
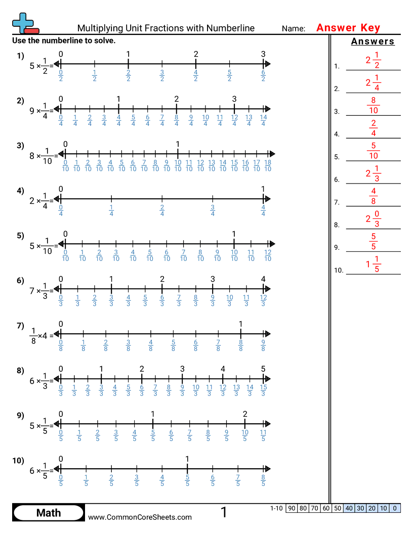
Fraction Location on a Numberline
Link
3nf2a

×
Description:
"This worksheet is designed to help children master the concept of fraction location on a number line. Offering 8 diverse problem sets, kids identify the correct placement of specific fractions. The worksheet is highly customizable to suit different learning requirements. It can be easily converted into flashcards for more interactive learning or utilized in distance learning platforms to facilitate math education beyond traditional classroom settings."

×
Student Goals:
Understand FractionsBy completing the worksheet, students should gain a solid understanding of fractions. This foundation will be crucial for them to grasp more complex numerical concepts in the future. They'll learn about number numerators and denominators, as well as how these components influence a fraction's value. The task demands students to visualize fractions on a number line, which helps them appreciate the relative sizes of different fractions and their relation to whole numbers. This understanding can then be applied in various real-life scenarios, such as measuring ingredients for cooking or calculating distances.Develop Problem-solving SkillsThe worksheet serves as an excellent tool for enhancing students' problem-solving abilities. Each problem poses a unique challenge that requires students to apply their knowledge and analytical skills to find the required fraction on the number line. Through this process, they learn to approach problems methodically, improve their critical thinking skills, and, most importantly, do not fear facing mathematical tasks. These problem-solving abilities are not only relevant to their math lessons but are also applicable to other subjects and real-world situations.Enhance Numerical LiteracyCompletion of this worksheet means that the students have enhanced their numerical literacy. This implies that they've been exposed to the skills necessary to interpret and work with numbers in all aspects of life, from budgeting to measuring and beyond. They'd understand how fractions fit into the broader picture of numerical literacy, appreciating their prevalence and relevance in daily undertakings. Importantly, this stage of numerical literacy is a stepping stone towards more difficult concepts, such as percentages and ratio calculations.Improve Visual-spatial UnderstandingWith a focus on mapping fractions on a number line. This worksheet promotes visual-spatial understanding. It trains students to mentally arrange and manipulate numbers and fractions within a defined space. It also challenges them to identify the relative positions of different fractions on the number line. Consequently, this understanding aids in the honing of spatial awareness which is beneficial in other areas of education such as geometry, engineering, physical sciences, and even day-to-day tasks that require spatial judgement.Boost Confidence in MathematicsLastly, upon completion of the worksheet, students should feel a lot more confident in their mathematical abilities. By mastering these foundational fraction-related tasks, they will realize that they are fully capable of understanding and conquering mathematical challenges. This new-found confidence can have a profound effect on their overall attitude towards learning and education, encouraging them to tackle more complex mathematical problems and concepts without hesitation.
3nf2b

×
Description:
"This worksheet is designed to enhance children's understanding of fractions on a number line. Comprised of seven detailed math problems, it walks students through various aspects of fractions, including values and locations. The problems challenge students to identify fractional values and distances between points on various number lines. Adjustable for different learning levels, the worksheet can be customized, used as flashcards, or incorporated into distance learning curriculums to adapt to learning preferences and needs."

×
Student Goals:
Develop Numeracy SkillsAfter completing the worksheet, students will have greatly developed their numeracy skills. They will be capable of interpreting and locating fractions on a number line, a crucial concept in elementary mathematics. This understanding will be beneficial in the advancement of more intricate mathematical ideas and proficiencies in the future.Understand Division of Unit LengthsThe children will demonstrate an understanding that a number line is divided into unit lengths, and that different fractions or decimal points denote these divisions. Recognizing this foundational principle will enhance their skills in deeper mathematical categories like algebra, geometry, and more advanced categories of arithmetic.Knowledge of Real World ConnectionsThrough the worksheet, students will gain an understanding of how fractions and their location on a number line relate to real world situations. This could be in measuring distances, cooking, or understanding timelines, reinforcing the notion that math is not merely a theoretical subject, but has practical, everyday applications.Enhancement of Critical ThinkingThis worksheet encourages critical thinking and problem-solving abilities. From figuring out the value of points on a number line to comparing distances, students are challenged to think, analyze, and solve which fosters a much-required mindset for future mathematical and scientific learning.Effective CommunicationBy describing the location of various points on the number line as fractions, students will be developing their ability to communicate mathematical ideas and arguments effectively. This skill is vital not only in the scope of mathematics but also across different subjects and learning areas since clear communication is key in academic success and future professional pursuits.Improve AccuracyThrough repeatedly answering the problems provided, the children will improve their mathematical accuracy. This practice will lessen the probability of committing errors in calculations, which is a valuable skill in many areas of life requiring financial or statistical analysis.
3nf2a

×
Description:
"This worksheet is designed to help children grasp and master the concept of partitioning and labeling on number lines, demonstrating understanding of fractions. Comprised of five unique questions, students will partition number lines into 2, 3, 4, 6 and 8 equal pieces. It offers customizability for individual learning and can easily be converted into flashcards for an interactive experience. Moreover, it's perfectly suitable for distance learning. This worksheet illuminates math concepts, making them approachable and comprehensible."

×
Student Goals:
Understanding of Fractional ConceptsUpon completing this worksheet, students should have a solid understanding of basic fractional concepts. They will learn that a fraction represents a part of a whole and that different fractions can represent the same value (for example, 2/4 and 1/2). Understanding fractions is crucial as it lays the foundation for more complex mathematical concepts in the future.Proficiency in Partitioning NumberlinesThe worksheet also equips students with the skill to accurately partition number lines into equal segments. This ability allows them to visually represent fractions and better understand their underlying principles. Partitioning is a critical skill for understanding interval scale and shapes the students' ability to deal with both ratio and proportion.Improved Numerical Labeling SkillsAfter finishing the worksheet, students will have improved proficiency in labeling each partition on the number line with corresponding fractional values. This enhances their number sense, links fractions to linear measurement, and cultivates their understanding of the relative nature of number size. This skill directly feeds into the ability to interpolate in missing number sequences and handle data interpretation in graphical forms such as bar and line graphs.Enhanced Comparison SkillsChildren will develop the ability to compare fractional values by analyzing number lines. This can be a practical way for them to understand that with fractions, a bigger denominator does not necessarily mean a larger value – an essential principle that students often struggle with in early fractions work.Introduction to Equivalent FractionsThough it is not explicitly mentioned in the worksheet, students will begin to develop intuition for the concept of equivalent fractions. They may notice, for example, that partitioning a number line into 4 pieces and shading in 2 will visually look the same as partitioning into 2 pieces and shading in 1 (i.e., that 2/4 = 1/2). This preps them for later math instruction where equivalent fractions are formally introduced.Building a Foundation for More Advanced Fractional ConceptsFinally, this worksheet provides a strong foundation for the learning of more advanced fractional concepts in the future. When they understand where fractions come from and how they work on a number line, they will find it much easier to grasp operations with fractions like addition, subtraction, multiplication, and division.
6ns6c

×
Description:
"This worksheet is designed to enhance children's understanding of fractions in both positive and negative contexts. It features nine unique math problems where students need to identify the locations of different fractions on a scale. Tailored to the needs of diverse learners, the content can be customized and converted into interactive flash cards. The worksheet also facilitates distance learning, providing a flexible resource for improving children's numerical skills."

×
Student Goals:
Understanding and Applying Mathematical ConceptsAfter completing this worksheet, students should be able to demonstrate a clear understanding of both positive and negative fractions. This includes the ability to identify where these fractions fall on a number line, improving their spatial awareness and conceptual understanding of maths topics. Previously abstract concepts such as negative numbers and fractions are made more concrete, aiding in their comprehension of further complex mathematical principles.Problem-solving skillsThis worksheet fosters problem-solving skills, encouraging students to apply the theoretical knowledge they've learned in practical examples. They have the opportunity to tackle a variety of problems that challenge their understanding and apply their skills. They will also learn to approach problems systematically, enhancing their cognitive development.Enhancement of Mathematical VocabularySuccessful completion of this worksheet enables students to expand their mathematical vocabulary. They will be familiar with terms such as 'fraction', 'negative', 'positive', and 'location'. This expanded vocabulary facilitates better communication of mathematical ideas, aiding their education journey.Thinking CriticallyWhen students understand and are proficient in identifying fraction locations both in positive and negative terms, they will be better equipped to reason logically and think critically. This skill will be invaluable throughout their academic and daily lives, as they will be able to approach different situations logically and analytically.Preparation for Advanced MathThe ability to identify and understand positive and negative fractions is fundamental to many more advanced areas of mathematics. Mastering these foundational skills would mean that students will be more prepared and confident in being introduced to more complex areas of math. This worksheet aids as a stepping stone for more complicated mathematical concepts.
3nf3c

×
Description:
"This worksheet is designed to enhance a child's understanding of converting fractions to whole numbers, helping to solidify their base in math. Containing 16 diverse fraction problems, it allows students to visualize numbers and conceptualize fractions. This versatile tool can be customized to suit any learner's needs, converted into flashcards for interactive learning or adopted in long-distance learning scenarios. The perfect adjunct to any math curriculum, empowering smarter and efficient learning."

×
Student Goals:
Understanding of FractionsAfter completing this worksheet, students should have a strengthened comprehension of fractions as expressions of whole numbers. They would gain the ability to recognize and mark fractions on a numerical scale, understand their relative proportions, and visualize their equivalence to certain whole numbers. This solidifies their fundamental grasp on the concept of fractions, laying the groundwork for more complex mathematical computations.Ability to Convert Fractions to Whole NumbersStudents will develop the skill to convert fractions into whole numbers. They will learn that when the numerator and the denominator of a fraction are the same, the fraction amounts to the whole number one. This skill will be integral to their progression within the subject of math as they progress to more complex topics, like algebra.Mathematical ReasoningBy working through the problems on this worksheet, students will enhance their mathematical reasoning skills. They will make logical deductions to decipher the location of fractions along a number line, thus building their aptitude in quantifying fractions of a whole. Their ability to think critically, reason logically, and make accurate mathematical judgments will be greatly improved.Competence in Numerical RepresentationThis worksheet will train students to efficiently translate numerical data into visual formats. They will mark the location of various fractions on a number line, thereby converting abstract numbers into concrete, visual representation. This not only helps in enhancing their comprehension but also promotes their skills in data representation, an important competency in various academic and professional fields.Confidence in Handling FractionsLastly, by successfully completing this worksheet, students will have gained the necessary confidence to approach fraction-based problems. Fear or hesitation towards fractions is a common phenomenon among young learners. However, with practice and subsequent mastery of the topic, this anxiety can be mitigated. By building their knowledge and understanding, this worksheet will help foster the students' confidence, influencing not just their performance on future worksheets and exams, but also their enthusiasm towards learning.

×
Description:
"This worksheet is designed to enhance children's knowledge in math, specifically focusing on identifying fractions and decimals on a number wheel. Featuring ten exercises, students are tasked to mark the given fraction or decimal on the wheel, reinforcing their understanding of basic mathematical concepts. Adaptable to various learning methods, this worksheet can be transformed into flash cards or utilized in distance learning. With the flexibility to be personalized, it fosters an engaging and interactive learning journey."

×
Student Goals:
Adding & Subtracting Fractions
Link
4nf3c

×
Description:
"This worksheet is designed to help children understand the concept of adding mixed fractions visually. It includes 10 different problem sets under the math subject in an easy-to-understand format. The worksheet can be adapted to cater individual learning needs, converted into interactive flashcards, or utilized in a distance learning environment to make math fun and engaging."

×
Student Goals:
4nf3c

×
Description:
"This worksheet is designed to improve children's understanding of subtracting mixed fractions in a visual, engaging way. Covering the essential math subject, it consists of 10 problems that visually represent the subtraction process. Fully customizable, it can be converted into flashcards or utilized in distance learning environments, enabling children to learn in a manner that suits them best."

×
Student Goals:
4nf3c

×
Description:
"This worksheet is designed to help children master the concept of adding and subtracting mixed number fractions. It includes 12 interactive problems arranged in a clear and friendly layout to improve problem-solving skills. With options for customization, this mathematics worksheet can be easily converted into flash cards and is ideally suited for distance learning environments. A perfect tool for fostering a love for numbers in young learners."

×
Student Goals:
Understanding Mixed Numbers and FractionsBy completing this worksheet successfully, students should be able to demonstrate their understanding of both mixed numbers and fractions. This involves being able to convert between the two, as well as performing basic arithmetic operations on them. This is an important concept in mathematics as it enhances numerical skills and allows students to better understand mathematical operations from a complex contextual viewpoint.Performing Addition and Subtraction on Mixed FractionsStudents should be able to confidently and correctly perform addition and subtraction operations on mixed fraction numbers. Mastering these key operational skills within fractions and mixed numbers, it will lay a strong foundation for understanding more complex mathematical operations and concepts later on. This corresponds broadly to their ability to manipulate and work with numerical values within a certain mathematical structure.Improving Problem-Solving SkillsSolving problems in math often requires students to think critically and strategically. The successful completion of this worksheet should imply that students have improved their problem-solving skills. They should also be able to apply different approaches to solve the presented problems which is an important skill in learning and life.Developing Mathematical FluencyFollowing completion of this worksheet, students should have developed improved mathematical fluency particularly in regard to working with fractions and mixed numbers. Their capacity and speed to perform addition and subtraction operations on mixed fractions should be enhanced, making similar future tasks easier and quicker to solve.Enhancing Math ConfidenceLastly, successfully completing this worksheet should be a confidence booster for the students. It provides them with the opportunity to test their understanding, solve complex problems, and consequently gain the much-needed trust in their mathematical abilities. This will further encourage them to engage more freely with such tasks and math in general, thereby, contributing positively to their overall mathematical proficiency.
4nf3c

×
Description:
"This worksheet is designed to help children comprehend addition and subtraction of improper fractions. Covering a set of 12 problem-based scenarios, the worksheet tackles the concept extensively. It can be customized according to the learner's speed, converted into flashcards for easy understanding, and is perfect for distance learning. With clearly designed problems and their solutions, it serves as a crucial tool for mastering improper fractions."

×
Student Goals:
Understanding of FractionsStudents will acquire a firm understanding of the concept of improper fractions. They will be able to accurately define an improper fraction and distinguish it from a proper fraction. This comprehension will lay the foundation for more advanced mathematical concepts, promoting the students' academic development in the subject.Fractions Arithmetic SkillsBy completing the problems in the worksheet, students will significantly enhance their arithmetic skills with improper fractions. They will be fluent in both adding and subtracting improper fractions, a fundamental aspect of arithmetic operations involving fractions. This proficiency in calculation can potentially aid students in solving complex real-world problems.Critical and Analytical ThinkingWorking through the worksheet will promote students' critical and analytical thinking abilities. They will learn to approach each problem logically and systematically, mapping out their workings step by step. This way, they will actively engage in each task instead of merely calculating, fostering critical thinking skills that extend beyond math into other fields of study.Accuracy and PrecisionThrough practice, students will develop skills in accuracy and precision. They will learn to pay close attention to detail while handling fractions, ensuring that elements such as the numerator, denominator, and mathematical operations are correctly identified and processed. This attention to detail and precision are essential in the study of mathematics and other technical subjects.Confidence BuildingThe successful completion of the worksheet will instill a sense of accomplishment and confidence in the students. Overcoming mathematical challenges can empower students, making them more eager and less intimidated by complex mathematical tasks in future studies. This mental preparedness and self-assuredness can play a significant role in their overall academic success and interest in learning.Application in Real World ScenariosFinally, this worksheet will enable the students to apply the skills learned to real-world scenarios. Understanding the addition and subtraction of improper fractions can be practically applied in various areas including baking, carpentry, finance, and many more. This transfer of knowledge from theoretical to practical makes their learning more worthwhile and meaningful.
4nf3c

×
Description:
"This worksheet is designed to enhance children's understanding of subtracting fractions with regrouping in math. With 14 comprehensive problems, the content reinforces the concept in a practical, engaging manner. The worksheet can be customized to cater to each child's learning pace, enabling its conversion into flashcards or incorporation into distance learning programs for a versatile educational experience."

×
Student Goals:
Understanding Fraction SubtractionBy completing this worksheet, students should develop a strong understanding of subtraction of fractions, especially those requiring regrouping. They should feel confident tackling similar problems independently. Mastering this essential mathematical concept is vital, as it is a foundational skill that serves as a building block for more complex concepts.Acquiring Problem-Solving SkillsIn performing these subtraction tasks, children will bolster key problem-solving skills. They will be able to identify the variables within the problem, apply the correct mathematical operation (in this case, subtraction), and come to an accurate solution. This development of problem-solving abilities will be applicable not only in their ongoing mathematical education but across their general learning.Fostering Mathematical ReasoningAs students work through these fraction subtraction problems, they should be encouraged to explain their reasoning. This practice in mathematical reasoning helps them recognize the logic behind the operations and reinforces their understanding. It also allows them to communicate mathematical concepts effectively, a critical skill for their ongoing education.Improving Accuracy and PrecisionBy consistently practicing subtraction of fractions with these exercises, students will improve their precision and accuracy in carrying out the operations. They will get better at keeping track of the denominator and handling the regrouping process where necessary. As they hone these finely detailed skills, they will be better suited to tackling more advanced mathematical concepts in future.Building Confidence in MathematicsAs students experience success in completing these fraction subtraction problems, they are likely to build their self-confidence in mathematics. With increased confidence, students are more likely to actively engage in math lessons and take on more challenging problems. This cultivated self-assuredness in their mathematical abilities can foster a positive attitude towards the subject.
4nf3d

×
Description:
"This worksheet is designed to enhance students' understanding of adding and subtracting fractions in real-life scenarios. A total of 10 diverse math problems cover topics from candy quantity to plant growth and studying hours. Customizable and adaptable, the worksheet can be transformed into interactive flashcards. It's compatible with distance learning platforms, fostering remote, yet effective learning."

×
Student Goals:
Understanding Fractional ConceptsAfter completing the worksheet, students should have a solid foundation in understanding fractional concepts. They should be able to interpret fractions in the context of authentic everyday situations, realizing that fractions are not just abstract numbers but relate to real-world quantities and measurements.Addition and Subtraction of FractionsStudents should accomplish mastery in the key skill of adding and subtracting fractions. This includes fractions with same or different denominators and they should be comfortable in applying the addition/subtraction rules to solve the problems.Problem SolvingBy working through the worksheet, students should refine their problem-solving skills, particularly in navigating word problems. They should become adept at decoding the problem, extracting the important information, and forming an appropriate strategy to reach a solution.Mathematical ReasoningStudents should improve in understanding mathematical reasoning and logic. They should be able to show clear reasoning about why the procedures for adding or subtracting fractions make sense and work for the situations.Real-World ApplicationChildren should gain confidence in applying their mathematical skills and knowledge to real-world contexts. The worksheet problems introduce them to a variety of practical situations where fractions are used, furthering their ability to see the relevance and application of fractions in everyday life.Interlinking of Mathematical TopicsCompiling fraction addition and subtraction along with other mathematical topics (like distance, weight, time). Students would have linked these various math topics by the end of this worksheet, which is crucial for their ability to fluidly navigate more complex mathematical problems in the future.
4nf5

×
Description:
"This worksheet is designed to enhance students' understanding of adding fractions with tenths and hundredths. Featuring 20 math problems, the interactive module allows for comprehensive practice and concept reinforcement. It can be customized to suit an individual's learning pace, adapted into flashcards for quick review sessions, and is perfect for distance learning. An invaluable tool, the worksheet helps students master an essential mathematical concept."

×
Student Goals:
Mastering Mathematical ConceptsAfter completing this worksheet, students will have honed their understanding of the decimal system, particularly focusing on tenths and hundredths. They should be able to accurately perform addition operations involving numbers in decimal form. This involves correctly recognizing and placing value on the decimal point, an essential skill in mathematical computations.Developing Problem Solving SkillsThrough this engaging activity, students will have enhanced their problem-solving skills and basic strategic thinking. They will understand how to approach and solve mathematical problems systematically. These skills don't only apply to math problems, but to tasks and objectives in everyday life, helping students to become more effective thinkers.Boosting Accuracy and SpeedWith repeated completion of this worksheet, students will become more accurate and quick in carrying out operations involving tenths and hundredths. This improvement in speed and precision is critical for upcoming challenges, such as timed tests, and more complex calculations.Enhancing Numeracy SkillsThe completion of the worksheet will help improve the student's numeracy skills, fostering flexibility and fluency in handling numbers. This ability is fundamental in various fields involving complex calculations such as engineering, physics, and even computer science.Increasing Confidence in Mathematical AbilitiesFollowing successful completion and understanding of the concepts found in this worksheet, students should feel more confident in their mathematical abilities. This sense of achievement can motivate them to tackle more challenging math problems, encouraging a positive attitude towards the subject.Preparation for More Complex TopicsThis worksheet provides a solid foundation for more complex math topics in the future. Understanding the basics of adding tenths and hundredths is crucial for subjects like algebra and geometry. Therefore, this accomplishment will make future learning smoother and more effective.
4nf3b

×
Description:
"This worksheet is designed to enhance children's understanding of fractions using a visual approach focusing on adding parts of a whole. With a set of 15 distinct problems, children are encouraged to identify the sum of fractions depicted as filled sections of different diagrams. Ideal for distance learning, these math material can be customized based on learning level and can be converted into handy flash cards for interactive and engaging learning."

×
Student Goals:
Understanding of Mathematical ConceptsStudents will achieve a deeper understanding of the concept of fractions and their role as parts of a whole. They will learn that fractions are used to represent parts of a whole and that adding fractions gives you the sum that still part of the same whole.Enhanced Calculation SkillsBy solving fraction problems, students will better their calculation skills. They'll become proficient at adding fractions, which will establish a strong foundation for more complex arithmetic operations, and they will witness the versatility of mathematics in real-life situations.Ability to Solve Problems IndependentlyWith enough practice from the worksheet, students will be equipped with problem-solving skills. They'll be able to solve similar problems and work through different mathematical challenges on their own. The worksheet encourages independent thought, which is a crucial skill in the learning process.Confidence in Handling FractionsEfficiently understanding and being able to perform fraction additions will foster students' confidence in handling fractions. This accomplishment will reduce any anxiety or hesitation that students may associate with fractions or mathematics in general, and prepare them for dealing with more complex fraction problems in the future.Concept of Equivalent FractionsDuring the course of this exercise, students will discover equivalent fractions. Adding same fractions will bring out instances where the result could be written as a whole number or other fractions, thereby introducing them to the concept of equivalent fractions.Understanding the Concept of SimplificationStudents will learn the process of simplification by adding parts of a whole. When certain fractions are added and they yield a result which could be reduced to a simpler form, students are indirectly learning the concept of simplifying fractions. This is an important mathematical skill which will help them in dealing with more complicated fraction operations.
4nf3a

×
Description:
"This worksheet is designed to offer a fun, interactive approach to learning fractions through visually engaging problems. Primarily tailored for math students, it focuses on the concept of adding fractions. The materials can be customized to meet individual learning needs, converted into handy flash cards for quick revision, or efficiently employed in a distance learning setup. With a total of 10 problems, it's a versatile resource for learning basic mathematical operations."

×
Student Goals:
4nf3c

×
Description:
"This worksheet is designed to reinforce children's understanding of adding fractions through a mix of numeric and visual methods. It contains 14 math problems with various examples, emphasizing on fundamental concepts in a fun and engaging manner. The worksheet's versatility allows customization based on student needs, can be converted into flashcards for continuous practice, and supports distance learning. It is a perfect tool to expand children's problem-solving skills and their comprehension of fraction addition."

×
Student Goals:
Understanding Fraction AdditionThrough completing the worksheet, students should be able to effortlessly comprehend the concept of fraction addition. They should be apt at recognizing the similarities of fractions, aligning fractions with common denominators and proficiently summing them up.Developing Numerical SkillsSolving these problems on the worksheet reinforces the students' ability to manipulate and work with numbers. The students should be able to quickly add fractions, making them faster with their mental arithmetic and improving their general math capabilities.Improving Problem-Solving SkillsEach math problem a child solves develops their problem-solving skills. This worksheet offers a variety of problems that focus on fraction addition. By the end, students should be able to apply what they've learned to solve new problems and situations.Mastering Visual RepresentationsAfter completing the worksheet, students should be adept at visualizing fractions as parts of a whole, which is crucial for their understanding of more complex mathematical concepts in the future. They should also be able to associate numerically expressed fractions with their visual representations.Overcoming Math AnxietyMath can sometimes provoke anxiety among students. However, the repetitive exercises in this worksheet, coupled with their gradual increase in complexity, should allow students to gain confidence in their ability to handle numbers and fractions, thereby reducing any nervousness associated with math.Gaining Proficiency in Math LanguageA competency that students should achieve after completing this worksheet is the fluency in the language of mathematics. They should have bolstered their knowledge of the terms and symbols associated with fractions and improved their ability to read, write and interpret mathematical statements.Enhancing Focus and AttentionWorking through math problems requires a certain level of concentration and attention to detail. Completion of this worksheet should have given students the chance to work on their ability to concentrate, conceptualize problems and follow through until they arrive at a correct solution.
5nf1

×
Description:
"This worksheet is designed to refine children's understanding of adding and subtracting fractions with different denominators. It offers visual representation of fractions and includes problems that encourage effective problem-solving skills. Users have the option to customize the content, convert problems into flashcards or utilize it for distance learning purposes. It is an optimal resource for reinforcing math concepts at home or in school."

×
Student Goals:
Develop Fractions UnderstandingStudents should gain a better understanding of fractions. By adding and subtracting fractions with different denominators, they would develop their skills in recognizing how fractions work and how different fractions can relate to one another. The process of converting fractions to have the same denominator should solidify their knowledge on equivalent fractions.Improve Mathematical FlexibilityThe ability to mentally manipulate fractions through addition and subtraction will improve students' flexibility in mathematics. By navigating through the steps required to solve these problems, students will inherently enhance their mathematical agility and capacity to think in a fluid, flexible manner, a critical element in tackling more complex mathematical problems in the future.Enhance Conceptual KnowledgeThis worksheet can help students add depth to their foundational mathematical concepts. In order to understand fractions, it's essential to grasp the idea of a whole being divided into different parts. Through practicing these problems, students will have a stronger conceptual understanding of not only fractions, but underlying mathematical concepts as well.Strengthen Problem-solving SkillsEach fraction problem on this worksheet is a like small puzzle waiting to be solved. Figuring out how to make the denominators the same, then perform addition or subtraction, critically challenges students' problem-solving processes and skills. These challenges, when conquered, will improve their ability to strategically resolve complex issues both in and out of math class.Build Confidence in ArithmeticCompleting this worksheet would help students build confidence in their arithmetic skills. With each problem solved, students can gain a sense of achievement and become more confident in their numerical understanding. This confidence is invaluable and can encourage them to venture into higher-level maths with both excitement and readiness.
5nf1

×
Description:
"This worksheet is designed to enhance children's understanding of adding and subtracting fractions through exciting and interactive problems. With a total of 12 problems, each customizable according to the learner's level, the worksheet fuels mathematical comprehension in an engaging way. The resource is effortlessly convertible to flash cards and easily adaptable to distance learning platforms, ensuring comprehensive learning in varied environments."

×
Student Goals:
Understanding of Fundamental Fraction ConceptsOn completing the worksheet, students should have gained a firm understanding of the basic concepts surrounding fractions. They should be able to identify the numerator and denominator and understand their functions within the fraction. Moreover, they should grasp the concept of equivalent fractions, having handled a variety of them within the worksheet.Proficiency in Adding and Subtracting FractionsStudents should be adept at adding and subtracting fractions, both with like and unlike denominators. They should understand the steps involved in performing these operations - such as finding a common denominator - and be able to execute them swiftly and accurately. This skill is essential for further progression in the subject.Ability to Solve Real-world ProblemsThe understanding and skills developed through the worksheet should enable students to apply their knowledge of fractions in solving real-world problems. They should be able to interpret and respond to problems presented in various forms, be it in word problems, picture representations, or story contexts.Development of Mathematical ReasoningAfter completing the worksheet, students should have refined their mathematical reasoning skills. Working through the problems should foster their ability to use logic and critical thinking in solving math problems, skills that are not only applicable to fractions but to a wide range of mathematical topics.Enhanced Accuracy and SpeedThrough regular practice provided by the worksheet, students should have increased their accuracy and speed when dealing with fractions. They should demonstrate fewer errors, be able to spot mistakes and correct them independently, and work through problems more quickly without compromising on accuracy.Confidence in Handling FractionsSolving the problems in the worksheet should have boosted students' confidence in handling fractions. The accomplishment of completing the collection of problems serves to instill a sense of achievement, fostering a more positive attitude towards math as a whole and encouraging a greater willingness and enthusiasm for tackling more complex fraction problems in the future.
5nf2

×
Description:
"This worksheet is designed to enhance children's proficiency in addition and subtraction of fractions. It presents engaging real-life scenarios, offering 10 problems that prompt critical thinking. This flexible resource can be customized according to individual learning needs, readily converted into flashcards, or utilized in a distance learning setting. An essential tool for mastering an important math concept."

×
Student Goals:
Develop Fundamental Math SkillsAfter completing the worksheet, students will have reinforced their understanding of basic addition and subtraction. They will have honed their computational skills, which are fundamental in every aspect of mathematical learning. They will become more adept at recognizing number patterns and applying addition and subtraction in different contexts, which lays a solid foundation for more advanced math concepts in the future.Strengthen Fraction UnderstandingThe worksheet is specifically geared towards helping students grasp the concept of fractions, including mixed fractions, and the procedures for adding and subtracting them. They will understand how to determine common denominators, and align numerators and denominators correctly to add and subtract fractions effectively. This understanding will serve to deepen their comprehension of the essential principles that underlie the subject of fractions.Apply Math to Real-life SituationsStudents will gain the ability to apply mathematical ideas and knowledge to real-world situations. The problems presented in the worksheet involve situations that children could encounter in their daily life, from comparing lengths and heights to managing time effectively. By solving these problems, they will realize the practical applicability of math skills and the importance of mathematical literacy.Enhance Problem-solving AbilitiesThe worksheet will step up their problem-solving abilities. They will improve their logical thinking skills and learn to apply them appropriately to solve problems. This will encourage them to think critically about the process involved in finding the solution, not simply getting the answer. These problem-solving abilities can be applied in various other disciplines and in real-life circumstances as well.Boost Confidence in MathThrough the successful completion of the worksheet, students will build confidence in their math abilities. Handling varied fraction problems independently will empower their confidence, making them more comfortable to tackle more challenging math problems and subjects. This boost in confidence is crucial to fostering a positive attitude towards the continual learning of math.
5nf1

×
Description:
"This worksheet is designed to aid children in developing their mathematical skills specific to combining amounts using fractions. It includes six unique problems, featuring scenarios with a diverse array of items like bags, strings and books. Each problem promotes concepts of weight and length measurement using different units such as kilograms, inches, and ounces. Ideal for distance learning, this interactive math worksheet can be customized according to teaching needs and easily converted into flashcards for practice."

×
Student Goals:
Enhance Understanding of FractionsAfter completing the worksheet, students will be able to demonstrate an enhanced understanding of fractions. They will be able to identify the numerator and denominator in fractions. Students should also be able to understand what these components of fractions represent in real-world situations like measuring distance, weight, capacity, and height.Practicability in Additive Operations with FractionsStudents should be able to comfortably add fractions with similar and dissimilar denominators at the end of this exercise. They will also learn how to apply these operations in practical scenarios. This ability comes particularly handy in solving real-life problems, such as computing total distances, measuring combined weights and capacities, and determining total heights.Improvement in Analytical SkillsThis worksheet will help enhance the students' analytical skills. They will learn how to interpret data from tables, extract relevant information, and conduct calculations based on these data. By constantly engaging with these practical problems, students will sharpen their problem-solving skills and their ability to make quick, accurate calculations.Enhanced Knowledge of Functional MathsThe contents of this worksheet will foster an enhanced knowledge of functional Maths among students. After completion, students will be able to apply the principles of Maths, particularly fractions, in day-to-day situations. Achieving this skill is the cornerstone for developing insightful perspective about the importance and usage of Maths in routine life.Boost Confidence in Handling FractionsThe worksheet is designed to help students overcome any pre-existing fears associated with fractions. Students should be able to approach fraction problems with increased confidence and reduced anxiety after working through this series of exercises.Acquisition of Transferable SkillsUpon completion of the worksheet, students are expected to have acquired transferable skills that are important beyond the math discipline. Skills like problem-solving, critical thinking, data interpretation, analytical thinking and practical application of theoretical concepts are universally beneficial attributes in academia and other areas of a student's life.

×
Description:
"This worksheet is designed to instill a strong mathematical foundation in children by learning the concepts of adding and subtracting fractions. Containing 20 engaging problems, it presents real-life math applications to help fuel their interest. Ideal for distance learning, these exercises can be customized to fit different learning styles and can even be transformed into flashcards for creative visual learning, making math enjoyable and easy to understand."

×
Student Goals:
Understanding FractionsAfter completing this worksheet, students should have a robust understanding of fractions. They should understand what a fraction represents, as well as the concept of numerators and denominators. They will comprehend how a fraction is a part of a whole and understand how fractions relate to real-world situations.Adding and Subtracting FractionsCompleting this worksheet will equip students with the ability to accurately add and subtract fractions. They should understand how to add and subtract numerators while keeping the denominators constant, thus enhancing their mathematical skills. They should also understand that the numerators and denominators in a fraction must be identical to carry out these operations.Problem-Solving SkillsThis worksheet encourages students to expand their problem-solving skills. They should be capable of calculating the solutions to a variety of fraction addition and subtraction problems, even when these problems initially appear complex or challenging. This worksheet provides a solid foundation for more advanced mathematical problem-solving skills in the future.Critical ThinkingThe students will also develop enhanced critical thinking skills after completing this worksheet, as they are encouraged to factor, subtract, and simplify different fractions. This exercise helps students to think critically about mathematical principles, and apply these principles to solve problems.Confidence in Handling FractionsFinally, students will gain confidence in handling fractions, a concept that, because of its abstract nature, can be difficult to grasp. The repetitive nature of the exercises will help students become more comfortable with fractions. By the end of the worksheet, students should feel that they have improved their ability to perform basic operations with fractions, positioning them well for more advanced mathematical studies.

×
Description:
"This worksheet is designed for children to learn and practice adding and subtracting fractions, a key mathematical concept. Featuring 12 examples, it helps children grasp the process of fractional arithmetic, converting fractions, and simplifying results. Tailored to suit diverse needs, it can be customized, converted into interactive flash cards for individual study or used in distance learning platforms."

×
Student Goals:
Understanding of FractionsAfter completing the worksheet, students should gain a thorough understanding of the fundamental concepts of fractions. This includes recognising fractions as being composed of a numerator and a denominator, and understanding that fractions represent a part of a whole. Moreover, they would develop a deep familiarity with the notion of equivalent fractions and how to simplify fractions.Addition and Subtraction of FractionsStudents will acquire competencies in performing addition and subtraction of fractions with different or similar denominators. They should be able to use techniques such as finding the common denominator to add or subtract fractions efficiently. These activities will enhance students' arithmetic skills and help them understand the mechanics of fractional computation.Problem-solving SkillsAs students work through the problems presented in the worksheet, they will enhance their problem-solving skills. This involves applying mathematical principles, logical thinking, and analytical skills to solve the problems correctly. They would be able to approach fractions with flexibility and adaptability, benefiting them in various mathematical contexts.Critical Thinking DevelopmentBy engaging in the problems included in the worksheet, students will foster their critical thinking skills. They will be challenged to think methodically, reason logically, and make connections between different mathematical concepts. As a result of this practice, they will be more proficient in assessing, analysing, and solving mathematical problems.Academic ConfidenceSuccessfully navigating through the problems in the worksheet would imbue students with a sense of academic confidence. They will gain confidence in their ability to handle more complex mathematical problems involving fractions. Additionally, this self-confidence boost could inspire a greater interest in the subject of Mathematics in general.

×
Description:
"This worksheet is designed to improve children's mathematical skills by focusing on the addition of unit fractions. It hosts 15 problems, that primarily involve adding fractions with numbers in the denominator ranging from 6 to 8. The worksheet is versatile, with the ability to customize the content to suit individual learning pace. It can also be conveniently converted into flashcards for more interactive learning or used in distance learning environments, making math fun and engaging for all students."

×
Student Goals:
Grasp the concept of unit fractionsStudents will have a solid understanding of unit fractions, which can form an important basis for more complex mathematical problems. They will realize how unit fractions represent the division of a whole into equal parts, contributing to their broader comprehension of fractions.Enhance addition skillsAdding fractions is a key element of math education. The successful completion of the worksheet means that students have strengthened their addition skills. They will be adept at combining unit fractions, equipping themselves with the capability to perform more complicated mathematical operations in the future.Establish fraction equivalencyBy figuring out the sums of the unit fractions in the problems, students will understand the idea of fraction equivalency. They will learn that different fractions can actually represent the same value, a crucial realization to apply in math puzzles and real-life situations.Develop problem-solving abilitiesBeing able to find solutions to the problems in the worksheet denotes that students have improved their problem-solving skills. They have learned to apply the correct mathematical operations in the appropriate sequence, aiding them in resolving mathematical challenges in a logical, systematic manner.Increase speed and accuracyCompleting the worksheet efficiently enhances students' speed and accuracy in handling mathematical problems. This practice allows them to answer questions rapidly while still maintaining the accuracy necessary to achieve correct results.Promote mathematical confidenceSuccessfully accomplishing this worksheet nurtures math confidence in children. They will realize that they can tackle and solve fraction problems, reducing math-anxiety and promoting a more positive attitude towards mathematics and learning in general.
Multiplying & Dividing Fractions
Link
4nf4a

×
Description:
"This worksheet is designed to reinforce children's understanding and skills in multiplying unit fractions using a number line. It includes 10 customizable math problems that illustrate the concept advantageously. The adaptable structure of the material also allows it to be converted into flashcards, aiding versatile and dynamic learning suitable for both conventional and distance learning setups. A great tool to build foundational math skills in an engaging way."

×
Student Goals:
Problem Solving SkillsAfter completion of the worksheet, learners will have increased their problem-solving skills. They will be able to handle a range of math problems, specially related to unit fractions and multiplying them efficiently. Their mental math skills will be developed as well as a deeper appreciation for the step-by-step process in computation.Knowledge of Number LinesBefore the worksheet, children might have only a basic understanding of number lines and how to use them for adding or subtracting numbers. After practicing with this worksheet, they would have a strong grasp of their application for multiplying unit fractions. They will understand the link between fractions and points on the number line, as well as its representation of their multiplication results. This is a profound learning that is essential for further studies in mathematics.Understanding Unit FractionsUnit fractions are the building blocks of other fractions and essential for developing strong fraction concepts. After completing the worksheet, students will have a concrete understanding of unit fractions and their multiplication. They will know how unit fractions compose other fractions and how changing the numerator influences the fraction's value. This knowledge can be generalized to other math areas, such as algebraic fractions.Mathematical ConfidenceMathematics can be a daunting subject for many students. By working through problems on their own, students will build confidence in their own abilities. This worksheet provides the necessary practice for students to solidify knowledge and boost their confidence. The more they practice, the less intimidating the subject becomes. They will feel more comfortable tackling similar problems in their coursework or exams and will exhibit increased enthusiasm and interest in mathematics.Critical Thinking and ReasoningAfter diligently finishing the worksheet, scholars are expected to have sharpened their critical thinking skills. They will be accustomed to thinking logically, breaking down problems, making calculations, and arriving at conclusions. This capacity to make logical connections and reason mathematically is not only useful in math studies but across all academic disciplines.Preparation for Advanced TopicsMultiplying unit fractions is a seminal concept in mathematics, and understanding it is crucial for grasping more advanced topics in the field. Mastery of this skill will prepare students for a smoother transition to more complex mathematical problems, such as those involving whole numbers, mixed numbers, decimal numbers, ratios, and proportions. The ability to multiply unit fractions efficiently provides learners with a solid base for more advanced mathematical exploration.
4nf4b

×
Description:
"This worksheet is designed to help children understand the concept of multiplying fractions with whole numbers. It contains 12 math problems, providing sufficient practice in this key area. The worksheet can be easily customized, turned into flash cards for hands-on learning, or even used for distance education programs, making it adaptable for various teaching methods and learning preferences."

×
Student Goals:
Mastery of Fraction and Whole Number MultiplicationUpon completion of this worksheet, students should have a solid understanding of how to multiply fractions by whole numbers—a key skill in the subject of mathematics. This understanding will allow them to solve a wide range of real-world and abstract mathematical problems, increasing their overall mathematical literacy and competency.Procedural ProficiencyStudents should be able to fluently and correctly follow the process of multiplying fractions by whole numbers. They should know how to simplify fractions where necessary, convert whole numbers to fractions, and carry out multiplication, then represent their answers in the simplest form. This demonstrates their procedural proficiency, an essential part of computational mathematics.Problem-Solving AbilityWith the successful completion of this worksheet, students should be able to apply their fraction and whole number multiplication skills in various contexts. This helps in enhancing their mathematical problem-solving capability. They should be capable of interpreting problems, devising a plan to solve them, and executing that plan to obtain the correct answer.Mathematical ConfidenceBy completing the worksheet, students will have had the opportunity to build confidence in their mathematical abilities. Successfully solving these problems will give them the assurance that they have grasped a fundamental math concept. This growing confidence is vital in encouraging them to tackle more complex mathematics down the line.Application of Maths ConceptsThe multiplication of fractions and whole numbers is not just a stand-alone lesson—it’s part of larger mathematical concepts. After completing this worksheet, students should be able to apply this skill in other areas of math such as algebra, real-world application problems, and more. Understanding this connection to broader mathematical concepts further deepens their understanding of the subject.Preparedness for Advanced MathsThis worksheet lays important groundwork for more advanced mathematical concepts that students will encounter in later years of schooling. The mastery of fraction multiplication is crucial as they progress to more complex mathematical operations such as division of fractions, algebraic fractions, or even when delving into calculus. Success with this worksheet thus creates a strong foundation for future success in mathematics.
4nf4a

×
Description:
"This worksheet is designed to help children practice multiplying unit fractions by whole numbers. An essential math concept, this worksheet features 20 comprehensive problems ranging from simple to complex. Perfect for personalized learning, it can be easily customized to match a child's pace of learning, converted into interactive flashcards or incorporated into a distance learning curriculum to facilitate better understanding."

×
Student Goals:
Understanding of Multiplication ConceptAfter completing the worksheet, students can demonstrate an improved understanding of multiplication as a concept, particularly regarding the multiplication of unit fractions by whole numbers. They gain clarity on how multiplication is used to calculate the product of a whole number multiplied by a fraction.Mathematical Skills EnhancementStudents can enhance their mathematical skills with diligent practice. The worksheet equips students with the ability to perform efficient and accurate calculations involving fractions and whole numbers, reinforcing their basic math competency and the application of theoretical arithmetic concepts.Critical ThinkingBy navigating through diverse multiplication problems, students inherently improve their logical reasoning and critical thinking skills. The mathematical challenges presented in the worksheet compel them to deduce, strategise, and problem-solve, therefore, fostering significant cognitive development.Grasp of Fractional ValuesThe comprehensive practice provided by the worksheet aids students in better understanding fractional values and how they operate within multiplication. They also develop a strong familiarity with unit fractions, enabling them to work with such values confidently in more complex mathematical contexts.Operational Fluency in MultiplicationAfter completing the worksheet, students are expected to show increased fluency in multiplication operations. They will grow adept in calculating the product of unit fractions by whole numbers with precision and speed, demonstrating increased proficiency in the application of multiplication within mathematical settings.Awareness of Numerical RelationshipsBy working with unit fractions and whole numbers, students grasp the relationship between these sets of numbers. The worksheet encourages them to explore and understand the dynamics between fractions and whole numbers, enlightening them about the fundamentals of number theory.Mathematical ConfidenceFinally, working through and completing the worksheet imparts a developed sense of confidence in students concerning their mathematical abilities. By overcoming the challenges presented in a worksheet, students enhance not only their mathematical skills but also their academic morale, perseverance, and self-efficiency.
4nf4b

×
Description:
"This worksheet is designed to enhance children's understanding of multiplying fractions by whole numbers visually. It contains 12 practical math problems that illustrate the concept in a clear, engaging way. Perfect for distance learning, the worksheet is adaptable and can be easily transformed into a set of flash cards to cater further to individual learning needs. A valuable resource to customize and strengthen essential mathematical skills."

×
Student Goals:
4nf4a

×
Description:
"This worksheet is designed to reinforce children's understanding of multiplying fractions by whole numbers. Through 20 carefully crafted math problems, students will grasp this essential concept in mathematics. The versatility of this worksheet allows it to be customized to fit individual learning styles, converted into interactive flashcards for engaging study, or implemented in distance learning curriculum to ensure continued academic growth no matter the setting."

×
Student Goals:
Understanding FractionsUpon completing the worksheet, students should have a strong understanding of fractions. They should comprehend the fundamental aspects of fractions, including numerators and denominators, and how they affect the value of the fraction. By working through the problems, they will also understand the relationship between fractions and whole numbers. From this, students should be able to confidently interpret and translate real-world situations that involve fractions.Multiplication SkillsThis worksheet will help students hone their multiplication skills, not only when it comes to multiplying whole numbers amongst themselves, but also in multiplication between whole numbers and fractions. Students should be comfortable multiplying fractions and whole numbers together in different combinations and understand how to simplify the resultant fractions as required.Problem-Solving AbilitiesStudents should be able to develop problem-solving skills as they push through each problem, choosing the correct formula to apply when dealing with fractions and whole numbers. The exercise should foster their ability to think critically, helping them identify patterns or shortcuts that can aid in rapidly solving multiplication problems involving whole numbers and fractions.Confidence in MathematicsThe worksheet assists in building students' confidence and interest in mathematics. After completion, students should feel accomplished and have a new-found, or reinforced, confidence to tackle similar fraction problems, thus molding a positive and courageous attitude towards maths as a whole. It catalyzes their engagement with more complex problems in the future.Practical ApplicationBy mastering the multiplication of fractions by whole numbers, students should be equipped to handle real-life applications of fractions. This includes understanding and interpreting situations that involve division of quantities into fractional parts.
4nf4c

×
Description:
"This worksheet is designed to help children practice and learn math, particularly fractions, through real-world problems. Key topics include multiplication and division of fractions, understanding of proportions, and practical applications of fractions. With 12 customizable problems, it offers flexibility to adapt according to learning needs. The worksheet can be converted into flash cards or used for distance learning, fostering a more interactive and engaging learning experience."

×
Student Goals:
Understanding FractionsUpon completion of this worksheet, students will be able to demonstrate a sound understanding of fractions. They will understand how fractions are used in everyday situations and can apply their knowledge to solve various problems. They will understand the concept that fractions represent parts of a whole, and be able to apply this in the context of real life scenarios.Problem-Solving SkillsThis worksheet encourages students to develop and apply problem-solving skills. They will approach each fraction-based word problem critically and strategically, refining their analytical thinking process. Students will be more skilled at translating real life situations into mathematical expressions, breaking down problems, and methodically working their way to solutions.Multiplication and Division of FractionsStudents will further enhance their arithmetic skills specifically on multiplication and division of fractions. They will practice these operations within a diverse range of problems, assisting them in mastering the mathematical principles involved when multiplying or dividing fractions.Application of Math in the Real WorldThrough solving word problems featuring real world scenarios, students will learn to apply math to their everyday lives. They will understand how fractions fit into diverse situations, from baking cakes to measuring distances. This will stimulate an appreciation of how math is deeply entrenched in practical uses, thereby adding relevance to the subject matter.Increased Confidence and Proficiency in MathBy successfully completing this worksheet, students will foster a sense of achievement which will contribute to their overall math confidence and proficiency. They will gain the solid groundwork and reinforcement needed to tackle more complex mathematical problems. Additionally, their enhanced abilities in solving fraction-related problems will provide them the readiness for more advanced mathematical topics.
5nf5b

×
Description:
"This worksheet is designed to help children improve their skills in estimating multiplication of fractions. With twelve comprehensive math problems to solve, it provides interactive learning that can be customized to the child's pace. Adapted for various learning methods, it can be converted into flash cards or incorporated into distance learning curriculum, ensuring flexibility and comprehensiveness in the mastery of multiplication and fraction concepts."

×
Student Goals:
Improving Fraction Multiplication SkillsStudents will achieve significant improvements in their understanding and proficiency in the multiplication of fractions. This includes proper and mixed fractions, equipping them with a foundation for tackling more complex mathematical problems in the future. Developing these skills will boost their overall mathematical competence that they carry into their next grade level and disciplinary studies.Accuracy in Mathematical EstimationUpon completion of this worksheet, learners will enhance their accuracy in estimating the results of fraction multiplication. The ability to estimate accurately is a valuable skill in mathematics and daily life, which aids students in checking the reasonability of their answers thereby increasing their mathematical confidence.Problem-Solving AbilitiesStudents will enhance their problem-solving capacities by learning to identify the appropriate steps in fraction multiplication. This fosters their logical thinking skills, enabling them to identify, analyse and solve math problems more effectively. The exercises in the worksheet will stimulate learners to cultivate their critical thinking skills as they work towards the correct answers.Increased Speed in CalculationBy frequently practicing these types of problems, students will raise their speed in calculating fraction multiplications. Quick calculation skills are important in academic success, and can also be applied in many real-life situations that require quick decision-making based on numerical data.Understanding of Math ConceptsWorking through the examples in the worksheet will deepen the student's understanding of the underlying maths concepts. This includes the understanding that multiplying fractions is essentially taking a part of a part, which builds their foundation for learning higher-level mathematical concepts. They will also gain insight into the relationship between fractions and whole numbers.
5nf4a

×
Description:
"This worksheet is designed to enhance students' skills in multiplying fractions, introducing 12 math problems to assist them in mastering the concept. It demonstrates a variety of fraction multiplication scenarios, inviting them to solve each unique numerical challenge. This customizable tool can also be converted into flashcards for quick revision or seamlessly integrated into distance learning platforms for flexible education."

×
Student Goals:
Concept UnderstandingUpon completing the worksheet, students should develop a clear understanding of the fundamental concept of multiplication of fractions. They should be able to identify and engage with the steps of multiplying fractions which encompass fraction number identification, multiplication of the numerators and denominators separately and simplifying the gained products to the lowest terms.Problem-Solving SkillsAfter solving these math problems, student’s ability to apply the underlying principles of fraction multiplication to solve complex problems efficiently should enhance. Furthermore, they should be capable of recognizing and interpreting problem statements, therefore breaking them down into smaller, manageable tasks.Numeracy SkillsBy the end of this activity, their numeracy skills should be improved, suggesting they should be proficient in conducting basic arithmetic computations accurately involving fraction numbers. They should be able to manipulate fractions comfortably and correctly, by multiplying the numerators together to form a new numerator, and similarly with the denominators.Critical ThinkingThis worksheet will aid in the improvement of critical thinking skills. After completing the worksheet, students should demonstrate their ability to think logically and methodically to find the correct answer. This includes being aware of common mistakes and misconceptions, and logical application of steps to proceed from one calculation to the next.Facilitation of More Advance TopicsThe mastery of multiplication of fractions can serve as a building block to more advanced mathematical topics. Having accomplished this worksheet, students should be prepared to tackle harder topics like division of fractions, operations with mixed numbers, and solving real-life problems involving fractions.Confidence BuildingSuccessfully completing this worksheet should also help to build confidence in their abilities in the mathematics area. As students practice and become comfortable in dealing with fraction multiplication, they should gain greater assurance in their skills, which can encourage a more positive attitude towards handling complex mathematical problems in the future.Time ManagementMultiplication of fractions worksheet will also train students in managing their time more efficiently as they progress through the set of problems. With repetitive practice, they should notice a significant reduction in the time they require to solve similar mathematical equations, hence improving their time management skills.
5nf4b

×
Description:
"This worksheet is designed to enhance understanding of multiplying fractions, effective for math learners. It features 11 visual multiplication problems involving fractions, providing a clear, easily comprehensible concept. Perfect for customization and conversion into flash cards, it nurtures learning in a broader perspective. Tactfully crafted, it fits into distance learning curriculums, offering a flexible avenue for children to practice their math skills at home.

×
Student Goals:
Understanding FractionsStudents will develop a solid understanding of fractions by engaging with the worksheet. This is fundamental to their mathematical development, given that fractions form the basis for many more advanced concepts. They will become familiar with the concept of numerators and denominators, and the relationship between these two elements of fractions.Multiplication of FractionsThe worksheet primarily focuses on teaching the multiplication of fractions. Through consistent practice, the learners will gain proficiency in this area. They will learn the fundamental rule of multiplying the numerators together to get the new numerator and the denominators to get the new denominator. This practice will solidify their multiplicative reasoning skills.Solving ProblemsBy utilizing this worksheet, children will enhance their problem-solving skills. They will learn how to analyze a problem, apply the correct method, and check their answer's validity. Successful completion of the worksheet signifies that the student can effectively solve the multiplication of fractions without assistance, making them more confident in tackling similar problems in the future.Analyzing Different FractionsThe worksheet includes a variety of fractions, allowing students to practise with different values. This exposes the learners to a broad range of potential fractions they might encounter in more complex problems or real-world applications of fractions. Completing the worksheet will thus ensure versatility in handling fractions.Developing Mathematical VocabularyBy working through the worksheet, students will also enhance their mathematical vocabulary. They will use and understand terms such as 'numerator', 'denominator', among others more naturally and in context. This knowledge is important for mathematical literacy and effective communication in the subject.Boosting Confidence in MathsLastly, after finishing this worksheet, students will likely feel a sense of accomplishment, leading to increased confidence in their mathematical abilities. This confidence is essential for reducing anxiety associated with the subject and encouraging more practice and deeper exploration of more complex mathematical concepts.
5nf4a

×
Description:
"This worksheet is designed to help children grasp the concept of multiplying fractions by whole numbers using number lines. It offers 20 math problems ranging from simple to complex fractions, enhancing their skills in this area. This resource can be customized to suit individual learning needs, converted into interactive flash cards, or utilized for distance learning. It's a versatile tool supporting a child's progressive understanding of fractions."

×
Student Goals:
5nf5a

×
Description:
"This worksheet is designed to teach children the fundamental concept of finding fraction products in math. It contains 13 problems that guide students through calculating and understanding the outcomes of multiplications involving fractions. Furthermore, each problem encourages learners to anticipate if the product will be greater or less than the initial values. This customized worksheet can be easily converted into flash cards, or seamlessly integrated into any distance learning curriculum, increasing its versatility and effectiveness."

×
Student Goals:
Understanding and Application of FractionsAfter completing the worksheet, students should have a firm grasp on the basic concept of fractions. They will be able to correctly identify, interpret, and multiply fractions, an essential skill in math. This involves understanding the numerator and denominator, and how these parts interact during multiplication to produce a product.Comparative ReasoningThe worksheet also prompts students for comparative reasoning - will the product of two fractions be more or less than the first fraction? This promotes logical thinking and boosts the thought process, encouraging the students to not just execute the operations automatically, but to understand and think through their implications.Critical Thinking and Problem-Solving SkillsThrough this worksheet, students can enhance their critical thinking and problem-solving skills. The exercises will allow them to practice and increase their ability to solve problems fluently, preparing them for more complex mathematical equations and real-world situations where mathematical knowledge is crucial.Building a Mathematical FoundationOne of the core objectives of this worksheet is setting a strong base of mathematical understanding for the students. From understanding fractions to complex multiplication, learners will definitely establish a stronger mathematical foundation.Accuracy and SpeedAfter completing the worksheet, students should not only improve in their ability to accurately solve mathematical problems involving fractions but also enhance their speed. They will gain confidence and become more comfortable with such kinds of math problems, which can greatly reduce anxiety and hesitation in their future mathematical testing and learning experiences.Adaptability to Different Mathematical OperationsIn addition, students completing this worksheet will gain skills adaptable to various mathematical operations. Since multiplication is a cornerstone operation in mathematics, skills learned will not only apply to fractions, but to a wide range of other math operations involving integers, decimals, and more complex equations.
5nf6

×
Description:
"This worksheet is designed to enhance kids' understanding of fractional math concepts through real-world problems. The customizable math exercise contains 12 problems, simulating real-life situations integrating fractions. The content supports distance learning and can be adapted into flashcards for an immersive learning experience. It encourages practical application and critical thinking in solving fraction-based problems."

×
Student Goals:
Improve Problem-Solving SkillsAfter successfully completing the worksheet, students will be able to enhance their problem-solving abilities. They'll be able to comprehend and solve complex math problems with greater ease. They'll discover new strategies and approaches to tackle problems and to apply their mathematical knowledge effectively.Grasp of FractionsThis worksheet will deepen their understanding of fractions as they apply them in different scenarios. By solving diverse problems involving fractions, they'll support and reinforce their learning about parts of a whole, division of numbers and equal shares. They gain the capacity to perform mathematical operations involving fractions accurately.Real-World Application of MathBy relating mathematical fraction problems to real-world situations, such as calculating weights, lengths, and times, this worksheet will enable students to understand the practical applications of math. This in turn should lead them to appreciate the indispensability of math in everyday life and to perceive math as a practical and useful tool. The practical context will make learning more relatable and engaging for students.Enhanced Numeracy SkillsThe worksheet encourages students to employ numerical operations involving fractions. Students will be able to perform multiplicative comparisons and multiplicative reasoning which forms the base of numeracy skills. They will also be able to understand and work with ratios, rates and proportions.Increase in Computation SpeedWith regular practice of such worksheets, students will observe a considerable improvement in their computation speed. They will be able to quickly and accurately perform arithmetic operations with fractions, and will eventually become confident and fast in working with numbers.Logical Reasoning SkillsLastly, by following a step-by-step procedure to solve each problem, students will develop their logical reasoning and critical thinking skills. These skills are not only essential for math but also for dealing with complex tasks and problems in real life.
5nf6

×
Description:
"This worksheet is designed to teach children the multiplication of fractions with cross cancelling, an essential math concept. It contains 18 stimulating problems to ensure concept mastery. It can be customized per individual learning pace and also be converted into flashcards. Excellent for distance learning, this interactive worksheet presents problems in a simple, easy-to-understand format for remote math instruction."

×
Student Goals:
Understand the Concept of Fraction MultiplicationOnce students complete the worksheet, they will have a stronger understanding of how to multiply fractions. They will grasp the basic mathematical principles behind fraction multiplication, reinforcing their arithmetic skills and boosting confidence in navigating this aspect of their math studies.Master the Technique of Cross CancellingBy doing the exercises, they will master the technique of cross cancelling, a shortcut in math that saves time while multiplying fractions. They will discover how cross cancelling before multiplying results in simpler computations, and how it could prevent the need for reducing the fraction afterwards.Improve Problem Solving SkillsThe worksheet will improve the students’ problem-solving skills. Through solving multiple practice problems, they will learn how to quickly and effectively handle challenges which involve fractions multiplication. As they learn to apply the cross cancelling technique to different types of problems, their problem-solving speed will increase.Enhance Attention to DetailStudents will enhance their attention to detail as they carefully examine each problem and apply the steps of fraction multiplication and cross cancelling process. This meticulous approach is a critical skill that goes beyond math and can be advantageous in many different areas of education.Be Prepared for More Advanced Mathematical ConceptsCompletion of the worksheet will prepare students for more advanced mathematical concepts. It will set the foundation needed to tackle more complex fractions and mathematical problems in the future, as the cross cancelling technique is also applicable in algebra. The skills learned in this worksheet are not isolated, but are building blocks for future mathematical success.Develop Persistence and DisciplineFinally, students will develop a greater sense of persistence and discipline by dedicating time and effort to complete the worksheet. Working through each problem, regardless of initial difficulty, teaches the student the value of persistence in reaching the correct answer. Furthermore, the discipline developed through consistent practice will impart a valuable life lesson about the benefits of sustained effort towards achieving a goal.
5nf7a

×
Description:
This worksheet is designed to help children understand the concept of division relative to multiplication with a focus on fractions. It features 17 customizable problems, which can be readily adapted to create flashcards or be integrated into distance learning platforms. Students practice interpreting division of fractions as the reverse of multiplication, strengthening their numerical fluency. With responsive, interactive designs, the worksheet facilitates engaging and effective learning experiences.

×
Student Goals:
5nf7a

×
Description:
"This worksheet is designed to help children understand the concept of dividing unit fractions using visual aids. It features 12 problems, including examples such as dividing one-sixth by nine, one-half by two, and one-eighth by seven. Ideal for distance learning, this versatile sheet can be tailored to suit your needs and can even be converted into flashcards for a more interactive educational experience."

×
Student Goals:
Comprehend Unit Fraction DivisionUpon successful completion of this worksheet, students should gain a strong understanding of how to divide unit fractions. They will have undertaken a deep exploration of the operational dynamics of this aspect of mathematics, strengthening their foundational math skills and boosting their confidence in approaching similar problems in the future.Understand Mathematical PrinciplesThe children will have acquired the ability to mentally manipulate unit fractions, thereby gaining an understanding of the mathematical principles behind this operation. By dividing various unit fractions visually, they will also understand and appreciate the correlation between algebraic and geometric fractions, reinforcing their mathematical reasoning skills.Development of Problem-Solving SkillsThis worksheet aids in cultivating the problem-solving abilities of the students. They will learn to apply correct methodological approaches in addressing fractional division problems. Consequently, they will improve their ability to analyze and resolve complex math problems systematically.Enhance Computational FluencyThe children are expected to improve in their computational fluency by practicing this complex operation of dividing unit fractions. Their proficiency and speed in dividing fractions improve, preparing them for more advanced studies and potential for fields that require proficiency in mathematics.Boosting Mathematical Self-ConfidenceSuccessful engagement with these problems is likely to boost students' self-confidence in their ability to tackle mathematical problems. They will have proven to themselves that they can conquer tricky mathematical concepts with practice, thus nurturing a resilience and positive attitude towards mathematics.
5nf7a

×
Description:
"This worksheet is designed to educate children on dividing unit fractions. Utilizing 18 problem sets, students learn to divide fractions through clear examples where fraction's numerator is 1. The problems demonstrate the process of division through interactive tables and offer a variety of scenarios. Perfect for distance learning, this flexible resource can be customized to suit individual learning needs or converted into flashcards for practical, hands-on revision. Ideal for making math comprehension effortless and fun for learners at all levels."

×
Student Goals:
Grasp Mathematical ConceptUpon completion, students will master the fundamental concept of dividing unit fractions. They will understand that fraction division is same as multiplication where the second fraction is inverted.Enhance Calculation SkillsThe students will have enhanced their skills in performing calculations involving fractions. They will be able to execute basic operations and solve complex problems involving unit fractions with better speed and accuracy than before.Critical Thinking and Problem SolvingThis worksheet will aid in developing the students' critical thinking and problem-solving abilities. By solving problems of varying complexities, they will sharpen their mental math skills and be capable of making quicker mathematical judgments.Application of KnowledgeAfter completing the worksheet, students will be able to apply their knowledge of division of fractions in real-world scenarios. This will help them understand the practical application of the mathematical operations they have been learning in school.Develop Confidence in MathCompleting this worksheet will instill a sense of confidence in the students about tackling mathematical problems. It will improve their competency in managing fractions which is a step forward in mastering the subject as a whole.Understanding Math TerminologyThrough repetition and practice, students will become familiar with maths language and terms, like dividend, divisor, quotient etc. This will widen their maths vocabulary, equipping them to understand and explain problems more clearly.Prepare for Advance MathThe proficiency gained from completing this worksheet will essentially prepare students for more advanced mathematical studies. It's a stepping stone towards more intricate math problems and operations, giving them a firm foundation for future learning.Promote Self-LearningLastly, by successfully completing this worksheet, students will get a sense of achievement that motivates them towards self-learning. It will encourage them to tackle and solve mathematical problems independently, contributing to self-driven learning and growth.
5nf7b

×
Description:
"This worksheet is designed to help children understand the concept of division using visual methods, specifically focusing on dividing whole numbers by unit fractions. Comprising 9 problems with detailed illustrations, it simplifies complex fractions topics in an engaging and interactive manner. Ideal for distance learning, this customizable tool can be conveniently altered to suit individual learning paces and can be effectively converted into flash cards for effective revision sessions."

×
Student Goals:
Understanding of FractionsAfter completing the 'Dividing by Unit Fractions' worksheet, students should have developed a strong foundational understanding of fractions. They should be able to comprehend the basic concept of a fraction, including the terms 'numerator' and 'denominator.' They will also understand how the value of a fraction is derived from the ratio of these two numbers.Division AbilityStudents should have honed their division skills, specifically when it comes to dividing whole numbers by fractions. They should understand how division by fractions works and be able to apply this concept in various contexts. Their mathematical decision-making skills should improve, as they understand when to apply division in solving problems.Interpretation of Visual RepresentationsThe worksheet helps students interpret visual representations of math problems. They should become adept at interpreting and solving problems based on visual representation by breaking down wholes into fractional parts visually. Such a skill is vital in understanding math concepts on a deeper level and will prove beneficial across various aspects of their math education.Problem-Solving SkillsUpon completion of the worksheet, students should demonstrate improved problem-solving skills. They will learn to interpret the question, identify the operation to be used, and execute it correctly. These abilities are not only essential for math but also translate to improved logical thinking and reasoning skills.Increased ConfidenceSuccessful completion of the worksheet should lead to an increase in the students' confidence. Through implementation and practice, students should feel more comfortable manipulating fractions and performing division operations. As their mathematical ability improves, so too will their confidence in their own ability to tackle more complex problems in the future.Application of Mathematical ConceptsStudents should be able to apply the mathematical concepts learned in real-world scenarios. They will understand that fractions and division are not just confined to textbook problems, but can be seen and applied in many life situations like dividing food, sharing resources, or calculating ratios.
5nf3

×
Description:
"This worksheet is designed to enhance children's understanding of fractions as division problems. Consisting of 20 tailored math problems that allow kids to visualize the key concepts, like the examples given. It is customizable, enabling you to adapt it to your child's learning pace and requirements. Moreover, the worksheet can be converted into flashcards for interactive learning, making it a versatile tool even for distance learning."

×
Student Goals:
Understanding of Fractions as DivisionStudents will gain a clear understanding of how fractions are represented as division problems. They will learn about the relationship between fractions and division, fundamental components of mathematical learning. Students will appreciate how fractions can be used in real-life scenarios where partitioning or dividing is required.Problem-Solving SkillsStudents will improve their problem-solving skills. They will be faced with various computation challenges on the worksheet. By finding solutions to each problem, their problem-solving capabilities will be enhanced. Critical thinking is a significant part of problem-solving; they will learn how to apply critical thinking in solving mathematical equations.Improved Calculation SkillsStudents will improve their calculation skills. These calculation skills are pivotal in daily life and professional occupations. They will be able to solve division problems more smoothly and will gain confidence in their mathematical skills.Mastering Division OperationsStudents will master division as a mathematical operation. This includes understanding and applying the division process step by step. The worksheet aids in achieving the ability to explain, present and interpret division problems understandably and accurately.Fraction IdentificationStudents will enhance their ability in fraction identification. The worksheet will help their understanding of fractions in different contexts. They will be able to identify the parts of a fraction and the meaning of numerators and denominators.Increased Numeracy SkillsThe worksheet aims to enhance the students' numeracy skills. By taking fractions and representing them as division problems, students are given the chance to expand their mathematical vocabulary. In addition, this task is designed to help improve their computation abilities through consistent practice.Preparation for Advanced Mathematical ConceptsThe worksheet sets a strong foundation for advanced mathematical concepts. An understanding of fractions as division problems is fundamental for complex mathematical problems in algebra, statistical analysis, calculus and more. This exercise prepares the students for the advanced study of mathematics.Boosting Confidence in MathematicsConfidence is key in the effective learning of mathematics. By successfully solving these problems on the worksheet, students will boost their confidence, leading to active participation in class and a healthier attitude towards mathematics in general.
5nf7b

×
Description:
"This worksheet is designed to help children understand the concept of dividing unit fractions in an engaging way. It contains 18 math problems, demonstrating how to solve fractions using clear examples and graphical aids. This is a flexible learning tool which can be customized according to the learners' level, converted into flashcards for hands-on learning, or incorporated into distance learning programs, to make math more accessible and fun."

×
Student Goals:
5nf7c

×
Description:
"This worksheet is designed to strengthen children's understanding of unit fractions through real-world problems in math. Teaching concepts like division of fractions and determination of fractional parts, it provides 13 customisable problems involving practical scenarios. This adaptable resource can also be converted into flashcards for more engaging learning or utilized effectively in distance learning scenarios."

×
Student Goals:
5nf7c

×
Description:
"This worksheet is designed to teach and practice the concept of dividing by unit fractions. Complete with 18 problems varying from simple division to fraction and decimal conversion, it offers an in-depth understanding of mathematical procedures. This customizable tool can be adapted for flashcards or integrated into distance learning platforms, encouraging sustained engagement and interactive learning in diverse environments."

×
Student Goals:
Reinforce Mathematical ConceptsAfter the completion of the worksheet, students will be able to reinforce the key mathematical concepts they have learned. They will exhibit a deeper understanding of fractions, division, and multiplication by integrating these skills into their mathematical repertoire. It will strengthen the foundational understanding essential for more advanced arithmetic in the future.Develop Problem-Solving SkillsCompletion of the worksheet will enable students to develop their problem-solving skills. By working out numerous problems involving fractions and division, their ability to critically think and apply practical problem-solving strategies in the context of mathematics will be greatly enhanced. It will also help them apply these skills to other challenging subjects and real-world contexts.Improve Numeracy SkillsStudents will display an improvement in their overall numeracy skills. Their ability to work with numbers, particularly fractions, and perform arithmetical operations will increase. It will further refine their skill in identifying and manipulating numbers seamlessly. These numeracy skills are vital for the continued development in Mathematics and other STEM-related disciplines.Enhance Accuracy and SpeedAnother accomplishment following worksheet completion would be an enhancement in both the speed and accuracy of students when dealing with arithmetic involving fractions. This practice will help students derive accurate answers within a faster time frame, which can prove to be extremely beneficial during timed tests and exams.Promote Self-Learning and ConfidenceStudents will grow in their ability to learn independently and boost their confidence. As they solve the worksheet problems, they will cultivate the habit of self-learning and acquiring knowledge rigorously. This promotes independent thinking and, in the process, instills greater confidence in their academic capabilities. Moreover, each correctly solved problem serves as a confidence-booster that motivates them to tackle harder problems.Understand the Application of FractionsAfter completing the worksheet, students will gain a profound understanding of the practical applications of fractions, division, and multiplication in daily life. They will comprehend how these mathematical operations are not restricted to classroom learning alone but extend to everyday situations. This understanding will foster an appreciation for the subject of Mathematics and its relevance to the world.
5md2

×
Description:
"This worksheet is designed to hone children's understanding of fractions through interactive problem-solving exercises. It contains 10 mathematical questions that encourage learners to find the sum of various fractions, followed by division. The worksheet is flexible; it can be customized to different teaching approaches, converted into flashcards for handy learning, or incorporated seamlessly into distance learning programs to ensure that children make the most out of their math sessions. It provides an engaging way to build mathematical skills and eloquence in fraction calculations."

×
Student Goals:
Understanding of FractionsUpon successful completion of the worksheet, students will have attained a clear comprehension of fractions. They will have grasped the basic concept behind fractions and what they represent, understanding not just as numbers, but as proportions, ratios, and divisions. They'll intuitively know what it means when they are presented a fraction like 2/3 or 4/5.Addition of FractionsStudents will be able to confidently add fractions. They will become comfortable with adding fractions that have both same and different denominators. This skill is not only crucial in math but also in various real-life situations where fractions are used, such as cooking, crafting, and making measurements.Understanding the concept of Sum DistributionThe worksheet is designed to help students grasp the idea of distributing sums. Distribution is an important concept in mathematics that involves breaking down expressions within parenthesis. Here, they will apply it to fractions by finding the sum of several fractions and distributing it by dividing with a certain number.Simplifying FractionsPost completion, the students will have learned to reduce fractions to their simplest form. By finding the greatest common divisor (GCD) for the numerator and the denominator, the students can convert any fraction into its simplest or reduced form. This skill will complement their fraction addition skills and contribute to a more complete understanding of fraction manipulation.Problem SolvingThis worksheet would have honed the students' ability to solve problems. As they navigate their way through the sums and solve division of fractions, their problem-solving skills, critical thinking, and ability to apply mathematical concepts in practice will get a considerable boost.Preparing for Advanced MathsThe skills the child would have gained from this worksheet are foundational to mathematics. Understanding, adding, and reducing fractions, as well as distributing sums, are vital areas of knowledge that will prepare students for more advanced mathematical concepts and operations later on in their education.
5md2

×
Description:
"This worksheet is designed to reinforce children's understanding of line plots in math. It features 6 customizable problems that involve distributing values evenly, investigating the outcomes using line plots. Queries range from splitting candies among friends to calculating water plants would receive daily. Adaptable to various learning styles, this versatile resource can be transformed into flash cards or utilized for distance learning, enhancing children's grasp of mathematical data interpretation through engaging scenarios."

×
Student Goals:
5md2

×
Description:
"This worksheet is designed to enhance children's understanding of math through the concept of redistributing fractions. It includes 5 problem sets about evening out quantities of candies, sand, water, box weights, and soda. Practical and engaging, this worksheet can be customized according to individual needs, converted into flash cards for easier learning or used in distance learning environments to simplify the concept of redistribution and fractions."

×
Student Goals:
Understanding FractionsUpon completion of this worksheet, students ought to have a firm grasp of the concept of fractions. They will have an understanding of how to redistribute quantities into equal fractions, which serves as the foundation for comprehending more complex topics in math such as ratios, percentages, and proportions. They should be able to apply their knowledge in real-life situations that involve sharing or dividing resources fairly.Problem Solving SkillsThe worksheet gives students the opportunity to sharpen their problem-solving skills. They will learn how to approach problems logically and systematically by identifying pertinent information to devise and execute a workable solution. Math exercises requiring problem solving stimulate thought, instil tenacity, and refine intellectual agility, thus providing students with a steady mind-set in confronting various challenges.Critical ThinkingThe exercises in this sheet compel students to employ critical thinking skills. By analyzing the different scenarios presented in the problems and figuring out how to evenly distribute amounts, students will develop analytical abilities. Critical thinking skill is essential as it encourages learners to be more independent thinkers and improves their decision-making abilities.Mathematical FluencyStudents should gain mathematical fluency upon finishing the worksheet. Standard arithmetic will become intuitive to students through frequent exposure and practice. Fluency in mathematics is crucial as it allows students to move to higher levels without struggling with basic operations. This skill will foster learners' efficiency and accuracy when tackling mathematical tasks.Practical Application of MathematicsThe worksheet prepares students to apply math concepts in daily life. The problems portray everyday scenarios involving items like candy, sand, water, nails, and boxes, linking classroom knowledge to the students' worlds outside the school. This mastery helps to give students a better understanding of the relevance and applicability of mathematics in their day-to-day activities.
5nf3

×
Description:
"This worksheet is designed to teach children the concept of division as fractions in the context of practical problems. It features 10 customizable problems that help learners understand how division plays out in real-life scenarios, like distributing fabric or candy evenly. Exercises developmentally suitable for distance learning and can be transformed into flash cards for offline study. Ideal for enhancing mathematical acumen in a fun and interactive manner."

×
Student Goals:
Understanding Division as FractionsAfter completing this worksheet, students should grasp the concept of understanding division as fractions. This will enhance their number skills and the ability to solve real-world problems. They will comprehensively understand the arithmetic intuition behind splitting quantities into equal parts, enhancing their fundamental quantitative reasoning ability.Application of Division in Word ProblemsThrough the resolution of word problems in the worksheet, students should be vastly improved in their ability to decipher real-life situations and apply division as a tool for problem-solving. They will understand how to frame these word problems as mathematical expressions and solve them accordingly, thereby refining their problem-solving skills and strategic capabilities to maneuver sophisticated situations.Accuracy in CalculationIn completing the worksheet, pupils will need to perform accurate calculations and hence will strengthen their arithmetic performance. They will develop numerical precision, focusing on the computation of fractions and the process of division. This practice will solidify their proficiency in accurately executing the mathematical operations involved in division for fractions.Estimation SkillsCrucial to many real-world situations, estimation of outcomes plays an essential role in quantitative reasoning. As part of the learning outcomes, students will enhance their skills in estimating the range within which a fraction falls. Identifying the two whole numbers that a fractional response lies between will fortify their ability to make educated estimates, which is a vital technique in everyday mathematical applications.Building FluencyThe regular practice enforced by this worksheet assists in building the student's fluency in division operations with fractions, as well as their confidence. Solving similar problems repeatedly will contribute to developing mathematical intuition and a sense of numbers, making differential calculations feel more familiar. This makes the transition to more complex mathematical forms smoother and ensures students are well-equipped for future academic challenges.Integration of ConceptsConclusively, the worksheet will allow students to integrate the different concepts of division as fractions, problem-solving, accuracy in computations, estimation, and fluency. Achieving the worksheet tasks will mean that students have not only learned these concepts singly but can combine them effectively in a holistic manner to solve problems. This reflects their maturing mathematical understanding and readiness for more intricate mathematical challenges.
5nf7a

×
Description:
"This worksheet is designed to enhance children's understanding of division using a number line approach. Covering nine customized math problems, it offers a visualization of division concepts through practical examples, such as 2/5÷5, 3/7÷3, and more. Ideal for distance learning, the worksheet can also be converted to flash cards for interactive student engagement."

×
Student Goals:
Mathematical Skill EnhancementAfter successfully completing this worksheet, students should have an enhanced understanding of mathematical concepts. They should be proficient with the use of number lines in solving division problems. This exercise provides an opportunity for reinforcing their skills in dividing fractions, which is a fundamental aspect of arithmetic.Problem Solving AbilityThis worksheet would have significantly boosted the competency of students in solving algebraic problems, particularly ones that involve fractions and divisions. They should now be able to easily approach mathematical problems, systematically break the problem down and methodically reach the solution. Students should have a good grasp of fraction division rules and be able to apply these when solving mathematical problems on their own.Application of Mathematical PrinciplesAfter completion, students would have honed the ability to apply mathematical principles and formulas. They can ably express quantities in different ways, and they can make predictions about the results of number operations. They are now readily equipped with a vital toolset of numeracy skills that can be utilized across a multitude of mathematical problems.Critical ThinkingThis worksheet encourages students to think critically, as they must apply their knowledge of fractions and divisions to solve problems. They need to decide the most appropriate technique to utilize, aiding in the development of higher-order thinking and reasoning skills. They are now capable of recognizing patterns, making connections, and forming hypotheses, which are relevant skills in solving mathematical problems.Logical Reasoning And Analytical SkillsCompleting this challenging worksheet would have cultivated students' logical reasoning and analytical skills. They would have practiced partitioning, comparing, and interpreting fractions. As a result, they are now able to engage in mathematical reasoning and justify their thinking which can be applied in real-world situations.
5nf7a

×
Description:
"This worksheet is designed to assist children in understanding the concept of dividing unit fractions using a number line. Comprising of 9 detailed math problems, it aids in reinforcing foundational skills in a fun, engaging way. Advantageously, this dynamically created worksheet can be modified according to individual learning pace, converted into interactive flashcards, or utilized effectively in distance learning environments, ensuring flexible, tangible learning outcomes."

×
Student Goals:
Understanding Unit FractionsUpon completion of this worksheet, students should have a solid understanding of unit fractions. They will learn about the concept of half, third, fourth and other unit fractions, and how these fractions represent part of a whole. This is a fundamental concept in math that is sure to come in handy as students continue to expand their math knowledge.Mastering Fraction DivisionStudents should be able to successfully perform division operations involving unit fractions. This includes understanding when to divide the numerator by the denominator or vice versa. Additionally, they will learn how to represent these divisions on a number line. Mastering these skills is critical in enhancing their mathematical proficiency and problem solving capabilities.Applying Number Line UsageOne of the key skills students will develop from this worksheet is the ability to use number lines in breaking down complex numerical problems, particularly involving fraction division. They will learn how to segment number lines based on the values of fractions involved in a division problem. This visualization technique can be pivotal in helping students understand and solve mathematical problems with greater ease.Improving Computational SkillsThis worksheet provides students with a valuable opportunity to hone their computational skills. By repeatedly calculating fraction division problems, students will be improving their numerical agility and accuracy, which will make tackling more complex math problems in the future faster and more efficient.Boosting Logical ThinkingThrough the process of calculating unit fraction divisions and interpreting number lines, students will be exercising their logical and analytical thinking. This reinforces the habit of approaching problems methodically, helping them understand that mathematics is not just about computation, but also about applying logic and careful thought.Gaining Confidence in MathPractising fraction division problems will help the students to reinforce their understanding and become more confident in their mathematics skills. This confidence, coupled with the knowledge and skills they have gained, would surely prepare them for higher-level math classes and even real-life applications of such mathematical concepts into their day-to-day activities.
5nf7b

×
Description:
"This worksheet is designed to help children grasp the concept of division using a number line. Consisting of 9 engaging math problems, it guides students to understand divisions like 6÷2⁄4, 7÷2⁄4, and others. Tailored to fit the needs of modern classrooms, the worksheet can be customized, transformed into flashcards or seamlessly integrated into distance learning programs."

×
Student Goals:
Understanding DivisionUpon finishing the worksheet, students will have a strong understanding of the concept of division, how it works, and what it actually represents in mathematical terms. This understanding will not only include the mechanical process of division but also the integral understanding of it as the breaking down of a whole into smaller, equally distributed parts.Application of Division on Number LineBy practicing various division problems, students will also learn how to apply their division skills using a number line. This provides a clear visual representation of the process and aids in the better comprehension of the concept. They will understand the placement and spacing of numbers and how a number line can be used to demonstrate a division problem effectively.Problem Solving SkillsBy working through and solving various division problems, students will learn how to effectively apply problem-solving strategies in math. They will learn how to approach a problem, break it down into manageable steps, and use logical strategies to reach a solution. They will also improve their ability to recognize when they have made an error and how to correct it.Enhancement of Computational SkillsThe practical exercises in the worksheet will help students to enhance their computational skills. This includes doing operations mentally, improving speed and accuracy, and developing automatic recall of basic facts such as multiplication tables, which are essential to division.Math Vocabulary and SymbolsWorking through the worksheet will allow students to strengthen their understanding and usage of mathematical vocabulary and symbols related to division. They will become familiar with terms like 'dividend', 'divisor', and 'quotient', as well as symbols like '÷' and 'frac'.Real-World ApplicationFinally, by mastering division, students will be better equipped to recognize and solve problems they encounter in everyday life. They will understand the importance of division in tasks like sharing objects equally, measuring quantities, and managing time. This understanding of real-world application foster interest and promote the utilization of division in everyday scenarios.
5nf7b

×
Description:
"This worksheet is designed to teach children the concept of division using a numberline. It contains 9 unique math problems involving fractions as divisors, to encourage problem-solving skills. Suitable for distance learning, this versatile worksheet can also be customized according to teaching needs and converted into flashcards for easy revision and interactive learning. A perfect tool to make division fun and understandable for kids."

×
Student Goals:
6ns1

×
Description:
"This worksheet is designed to enhance children's understanding of dividing fractions in math. Offering 12 unique problems, it breaks down complex concepts to simple lessons encouraging crucial mathematical skills. Each problem presents a clear example to ensure comprehension. Plus, it boasts adaptability features, being easily customizable to suit individual learning needs, perfect for distance learning. Extra features include the possibility to convert problems into flashcards for fun, innovative revision sessions. This worksheet is an excellent way to make math enjoyable and accessible for every child."

×
Student Goals:
Understanding the Concept of Division with FractionsUpon completion of the worksheet, students should have a greater understanding of the division concept when dealing with fractions. They will be able to comprehend how to separate a specific quantity into equal parts, a crucial concept in many branches of mathematics. Students will progress their conceptual knowledge of what it means to divide fractions and increase their ability to use these skills in a practical context.Fluency in CalculationThe worksheet empowers students to enhance their mathematical fluency, especially in the calculation of fraction division. By tackling a variety of problems, they will master the algorithm for fraction division and multiplication, working effortlessly with complex numerical values, thereby increasing their numerical calculating speed and precision.Problem Solving SkillsThe practical nature of the worksheet's problems allows students to augment their problem-solving abilities. They will be capable of applying the principles of fraction division in different scenarios, breaking down each problem and finding the appropriate method to reach the solution. These problem-solving skills go beyond math worksheets and have valuable application in everyday situations.Comfort with Number ComplexityWorking through the problems on the worksheet boosts students' confidence and comfort when dealing with fractions - a notoriously difficult area of mathematics for many learners. They will learn to approach intricate fractions comfortably, fostering a positive attitude towards complex numbers and preparing them for more advanced math courses.
6ns1

×
Description:
This worksheet is designed to enhance children's understanding of dividing fractions using a visual number line method. It comprises 9 engaging problems focused on fractions like 3÷1/6, 2÷1/3, and 6÷2/3, depicted graphically. Accessible in customization format, it can be converted into flash cards, facilitating distance learning, and personalized teaching, thereby making math learning fun and comprehensible.

×
Student Goals:
Concept UnderstandingAfter completing this worksheet, students should have a strong understanding of how to divide fractions using a number line. The range of problems presented offers exposure to different types of fractional divisions, allowing learners to develop a comprehensive understanding of the subject. By working through these exercises, students will reinforce their knowledge of fraction division fundamentals.Problem Solving SkillsThe exercises in this worksheet are designed to enhance students' problem-solving abilities. Through tackling these problems, they will learn to apply mathematical concepts and approach problems systematically. This nurtures their logical reasoning skills and encourages critical thinking, both of which are essential abilities not just in math, but in life.Numeracy SkillsThis worksheet supports the development of essential numeracy skills. By learning how to divide fractions using a number line, students get to work with numbers and understand their values. Such lessons are crucial in building a solid foundation in mathematics, preparing students for more complex calculations in the future.Practical Application and Concept ReinforcementAfter going through various problems, students will be in a position to apply what they have learned in real-world situations. Understanding fraction division is essential in various fields, including science, engineering, finance, and everyday life. Moreover, repeated practice through this worksheet will reinforce the concepts, accelerating the transition from conscious learning to automatic application.Confidence in MathematicsFinally, by successfully dividing fractions with a number-line, students will gain confidence in their mathematics skills. The ability to tackle a variety of problems can help reduce math anxiety, foster a positive attitude towards learning, and inspire them to explore more advanced mathematical concepts.
3nf3d

×
Description:
"This worksheet is designed to sharpen kids' math skills by comparing fractions. It offers 8 diverse problems that challenge students to recognize and analyze fractional equivalency and inequality. Customizable to individual learning needs and pace, it can be converted into flash cards for interactive study sessions. It's also suitable for distance learning, providing a fun and engaging way to master fractions at home."

×
Student Goals:
Understanding FractionsAfter completing the worksheet, students should develop a strong grasp of fractions, understanding the concepts of numerators and denominators. This fundamental understanding of fractions is vital for many mathematical problems and everyday scenarios. The concept directly plays into understanding divisions, ratios, proportions and is used extensively in higher mathematical studies and various fields of science, engineering, and data analysis.Comparing FractionsThe ability to correctly compare fractions is a crucial outcome of this worksheet. This competence builds familiarity with numbers and enhances logic by comparing two or more fractions to determine which is greater, smaller or if both are equal. Such a skill is not only valuable in academics and number-based fields but also aids in reasoning, logical thinking and decision-making in everyday life.Problem Solving and Critical ThinkingIn the process of completing the worksheet, students will be required to solve multiple problems involving the comparison of fractions. Each problem is a chance to exercise their problem-solving skills and critical thinking abilities, which are key components in their cognitive development and future learning processes. These functions are applicable in many other areas of study and life situations that require planning, organization, and decision making.Confidence in Fraction ManipulationSuccessfully completing the worksheet should result in higher confidence levels in handling fractions. The mental exercise of manipulating numbers in fractions, comparing and understanding their relative magnitudes, can significantly boost a student's self-assurance in managing mathematical problems around fractions. This confidence is fundamental for tackling more complex mathematical problems in future academic pursuits.Basis for More Complex Mathematical ConceptsStudents should be able to use the knowledge gained from this worksheet as a foundation for understanding more complex mathematical concepts. These include but are not limited to ratios, decimals, percentages, and algebraic equations. This foundational knowledge in fractions and their comparison is crucial for branching out into these different yet interlinked mathematical topics.
3nf1

×
Description:
"This worksheet is designed to teach children about fractions through visualization. With ten interactive problems, students are asked to identify the shape that correctly represents certain fractions. Every problem can be customized to meet individual learning needs. Notably, its dynamic nature makes it suitable for use in distance learning, and each problem can also be transformed into fascinating flashcards."

×
Student Goals:
Conceptual Understanding of FractionsUpon the completion of this worksheet, students should have a firm understanding of fractions - the basic concept and how they represent parts of a whole. They will be able to identify and determine fractions in a visual and intuitive manner, strengthening their grasp on the subject.Mastery in Fraction VisualizationStudents will master the technique of visualizing fractions as part of a shape. They will be confident in identifying which part of a shape represents certain fractions. This skill significantly helps in comprehending more complex mathematical problems as they progress in their coursework.Problem-Solving AbilityBy solving a variety of fraction problems, students sharpen their problem-solving abilities, critical thinking, and analytical skills. They should be able to apply these skills not only to similar math problems but to real-life situations as well, demonstrating a practical understanding of fractions.Comparison of FractionsAfter completing the worksheet, students will be able to compare different fractions visually. This skill makes it easier for them to grasp the concept of fraction equivalency, simplification, and comparison - foundational skills in further mathematical education.Fosters Independent LearningThis self-guided exercise bolsters independent learning. The confidence earned from successfully solving the problems promotes self-reliance in their learning journey, fostering a willingness to tackle new, more demanding topics autonomously.Enhanced Numeracy SkillsWith each fraction problem, the pupil refines their numeracy skills. The ability to determine fractions visually aids cognitive development, enhances numeric literacy, and lays a formidable foundation for more complex mathematical computations.
3nf3d

×
Description:
"This worksheet is designed to help children master the concept of comparing fractions using visuals and problem-solving exercises. With nine problems presented in interactive formats, it encourages learning through various methods. The content is customizable for specific learning requirements and can easily be adapted into flash cards for more engaging study. This worksheet is versatile and ideal for use in both traditional and distance learning environments, facilitating better understanding of fractions in a fun and interactive way."

×
Student Goals:
Understand Fraction ConceptsBy successfully completing this worksheet, students will have significantly improved their understanding of fractions. This fundamental concept in math is used in a variety of subjects and is crucial in later learning. They will learn how fractions work, along with its components: the numerator and denominator. Their confidence in dealing with fractions will be enhanced.Skills in Comparing FractionsThe worksheet is designed to help students improve their skills in comparing fractions. They will grasp how to identify the larger or smaller fraction by interpreting the numerator and denominator correctly, train their mental math skills, and enhance their ability to follow logical steps in comparing fractions of different values. This skill is not only important in math but also relevant in real-life situations where comparisons have to be made.Problem-Solving ProficiencyAfter tackling the problems in this worksheet, students will improve their problem-solving skills. They will learn to apply theory to practice, fostering the ability of critical thinking. Each problem in this worksheet has been designed to challenge their comprehension, requiring them to analyze, strategize and then solve it. This strengthens their ability to approach, dissect and resolve problems effectively.Exercise Patience and DiligenceThe worksheet encourages students to be patient and diligent. Fractions require a certain degree of focus and a lot of practice to master. By diligently working through the problems, students will learn the importance of perseverance in achieving their learning goals. This enhances their attitude and behavior in learning, making them better learners.Develop Math FluencyThis worksheet offers students an opportunity to enhance their math fluency. They will engage with fractions regularly and this repeated practice contributes towards making them comfortable and fluent in handling fractions. A high level of fluency will benefit students in faster and more efficient problem-solving. It will also be beneficial in their future mathematical undertakings.
3nf3d

×
Description:
"This worksheet is designed to enhance a child's math skills in ordering fractions. Covering 12 engaging problems, each example presents different fractions that provoke critical thinking skills. Adaptable to various learning styles, this worksheet can be customized into flashcards or used for distance learning, proving effective even beyond traditional classroom environments. A perfect tool for both teachers and parents to develop essential math understanding in children."

×
Student Goals:
Understand FractionsAfter completing this worksheet, students should have a strong understanding of fractions, knowing what they are and how they are represented. They will become more familiar with the numerical representation of fractions, and the difference between the numerator and denominator. This understanding will form the basis for their mathematical knowledge going forward, forming the prerequisite for more advanced concepts.Ordering FractionsStudents will gain the ability to order fractions correctly. They will learn to determine which fractions are larger or smaller and understand the concept of comparative values within the fraction context. They will understand that fractions can represent values greater than, less than, or equal to other fractions and will develop the ability to make such comparisons accurately and efficiently.Enhance Problem-Solving SkillsBy working through the problems in this worksheet, students will enhance their problem-solving skills. These challenges promote critical and analytical thinking as learners navigate through to the solution. They will learn to apply the concepts they've learned about fractions to solve problems, improving their overall mathematical problem-solving capabilities.Increase Confidence in MathRoutinely working through problems such as those found in this worksheet fosters confidence in a student's mathematical abilities. As they quickly recognize and accurately order fractions, they will feel more comfortable tackling complex mathematics questions. This boost in confidence can significantly impact their future performance in math and their enthusiasm towards learning new math concepts.Preparation for Advanced Mathematical ConceptsMastering the technique of ordering fractions forms a solid foundation for tackling more complex mathematical concepts in the future, including algebra and calculus. The skills gained through this worksheet are transferrable and will be essential as they continue their math education. They will be better prepared and have the confidence to solve increasingly complex problems and equations.
3nf3d

×
Description:
"This worksheet is designed to enhance children's mathematical skills by focusing on comparing fractions. Consisting of 20 problems that utilize graphical representations, it simplifies the measurement of different quantities. Customizable for diverse learning methods, it can be converted into flashcards for kinesthetic leaners or implemented digitally for distance learning. Perfect for mastering the concept of fractions and improving numerical proficiency."

×
Student Goals:
Understand Basic FractionsUpon completion of this Comparing Fractions worksheet, students should have a solid understanding of fractions, which represent part of a whole. Through solving 20 problems, they'll learn to identify the numerator and denominator, and understand their significance in representing fractions in the simplest form, leading to a more natural comprehension of fractions.Proficiency in Comparing FractionsThe worksheet fosters proficiency in comparing fractions. By solving problems, students will learn the rules for fraction comparison, like comparing numerators for fractions with the same denominator or comparing the whole numbers for fractions with the same numerator. This skill is incredibly crucial for advancement in math topics, including algebra and calculus.Building Mathematical ConfidenceThis worksheet aims to build students' confidence in their mathematical ability. By successfully comparing fractions, students will see their progress in math competency, fostering a sense of achievement and encouraging them to tackle more complex mathematical problems. This newfound confidence can enhance their interest in math and lead to higher academic achievement.Critical Thinking and Problem-SolvingCompleting the worksheet helps develop critical thinking and problem-solving skills. Students must utilize logical thinking to evaluate the fractions and judge their relative size. Over time, repeated practice of these skills not only aids mathematical learning but also strengthens overall cognitive development, which is beneficial across all academic disciplines.Preparation For More Advanced Math ConceptsMastering fraction comparison is a key stepping stone to more advanced math concepts. Successfully completing this worksheet helps prepare students for more complex numerical concepts, including ratio, proportions, and decimals, integral for more advanced Math topics. This will set a strong foundation for students' mathematical journeys, equipping them to tackle higher-level mathematical problems.

×
Description:
"This worksheet is designed to enhance children's understanding of comparing fractions through engaging and visually appealing math exercises. It features 14 unique problems, utilizing dynamic graphics to aid comprehension. The customizable content can be transformed into flashcards to facilitate seamless learning, making it an excellent resource for distance learning programs. It offers a fun, interactive way to learn an essential math skill."

×
Student Goals:
Understanding FractionsAfter completing the Comparing Fractions worksheet, students should have a solid conceptual understanding of fractions. They should be able to recognize and identify fractions in various formats and understand what these fractions represent.Comparing FractionsStudents should be able to accurately compare fractions. They should have gained an understanding of how to determine which of two fractions is greater or smaller, and they should be able to order fractions from least to greatest or vice versa. They should also be familiar with the concept of equivalent fractions.Problem Solving SkillsThe worksheet should improve students' math problem-solving skills. Students will be able to approach problems related to fractions methodically, deploying suitable strategies for their resolution. They will know how to break down complex problems into manageable parts.Application of LearningsAfter working through the worksheet, students should be able to transfer their knowledge about fractions into solving real-world problems. They should be able to perceive the relevance of fractions in daily life situations like cooking, shopping, and time and distance calculations.Independence in LearningThe worksheet is envisaged to enhance students' ability to learn independently. It should encourage students to explore the different methods of comparing fractions for themselves, to understand the pitfalls and advantages of each method, and to select the most suitable method for a given problem.Building ConfidenceCompletion of this worksheet should also build confidence in students. As they improve their ability to compare fractions correctly, they will gain confidence in their math skills. This increased confidence and familiarity with fractions can comfort them when dealing with more complex mathematical problems in future.
4nf2

×
Description:
"This worksheet is designed to strengthen children's understanding of comparing fractions in math. It contains 20 distinct problems, where children will decide if one fraction is greater than, less than, or equal to another. Dynamic and engaging, this material can be customized based on learner's needs. It also has the capacity to be converted into flashcards for a more visual approach and is adaptable for distance learning, maximizing instruction during remote education sessions."

×
Student Goals:
Understanding of FractionsUpon completion of the worksheet, students should have an improved understanding of fractions. They should be able to identify the numerator as the number that represents a part of the whole and the denominator as the total number of parts in that whole. Recognizing these aspects of fractions is fundamental to further mathematical learning.Comparing FractionsStudents should have mastered how to compare fractions effectively. They should be able to determine if a fraction is less than, equal to, or greater than another and justify their reasoning. The comparison of fractions is a fundamental skill that students will utilize in various aspects of their lives, from simple daily activities to complex problem solving in future mathematics studies.Proportional ReasoningThis worksheet should provide students with a clear understanding of proportional reasoning concepts. Through comparing fractions, students should begin to grasp the reciprocal relationship between the numbers in a fraction and the principled way in which they interact. This essential comprehension will assist them in solving more sophisticated mathematical problems down the line.Augmented Problem-Solving AbilitiesBy completing this worksheet, students should significantly improve their problem-solving abilities. They will enhance not only their critical thinking skills but also their ability to apply mathematical principles to solve problems systematically. This improvement will definitely provide a solid foundation for more complex mathematical tasks that they will encounter through their educational journey.Familiarity with Fractional NotationHaving worked with a variety of fractions on this worksheet, students should develop a familiarity with fractional notation. They should understand the differences between proper and improper fractions and be able to recognize equivalent fractions. This understanding of fractional notation will greatly assist them when they progress to additional math subjects such as algebra and calculus.Build ConfidenceCompletion of the worksheet should instill a sense of mathematical confidence in the students. Familiarity and understanding of the topic should reduce math anxiety and encourage students to take on more challenging mathematical concepts. Handling complex problems with ease will boost their confidence and enhance their overall academic performance.
4nf2

×
Description:
"This worksheet is designed to educate children on the concept of fractions relative to half in a math context. It encompasses 20 distinctive problems, ranging from basics such as 3/6 to more challenging instances like 5/8. Perfect for distance learning, the worksheet is flexible, allowing for user customization and a seamless conversion into flashcards to enhance comprehension and memory retention. Ideal for instilling a strong foundation in fractions."

×
Student Goals:
Understanding of FractionsAfter completing the worksheet, students should have a deeper understanding of fractions. They should be able to identify numerators and denominators and what they represent in the context of a whole. They should understand how fractions are used to represent portions of a whole, and how different fractions can express the same value.Conversion SkillsStudents should be able to convert fractions to their simplest form. For example, they should know that 2/4 is the same as 1/2. They should also be able to convert improper fractions to mixed numbers, and vice versa. Their ability to compare and order fractions should also be enhanced.Relating Fractions to HalfAn important learning outcome is for students to understand fractions relative to the value of one half. They should appreciate how different fractions are smaller or larger than one half. They should be able to make estimations about the value of fractions based on their relation to one half.Problem Solving SkillsCompletion of the worksheet should also bolster students' problem-solving skills. Not only will students answer specific problems, but they will also apply concepts and strategies learned to solve new, unfamiliar fractional problems. This applies their understanding in a practical and meaningful way.Math Language and TermsThe worksheet should arm students with the correct mathematical language and terms. They should be able to use the proper terminology and symbols when representing and discussing fractions. This helps them to effectively communicate their mathematical thoughts and understandings.Confidence in MathematicsLastly, successfully working out fraction problems can boost students' confidence in their math abilities. They should feel encouraged to further explore and learn more complex fraction concepts and other areas of mathematics. Overall, the enhanced confidence could foster a positive attitude towards learning mathematics.
4nf3d

×
Description:
"This worksheet is designed to strengthen children's grasp on comparing fractions. Through a series of 15 math problems, kids will exercise their skills in recognizing larger, smaller, or equal fractions. In a fun, interactive format, they'll also practice addition and subtraction using fractions. The worksheet is fully customizable, making it a versatile tool for in-person or distance learning. There's also an option to convert the problems into flashcards, enhancing the learning process."

×
Student Goals:
Understanding of FractionsAfter completing the worksheet, students should have developed a stronger understanding of fractions. They should have a grasp of the concept that a fraction represents a part of a whole and be able to identify the numerator and the denominator. They should understand what these parts signify, with the numerator indicating the number of selected parts and the denominator reflecting the total number of equal parts in a whole. The worksheet should make students comfortable in navigating the fundamental notion of fractions.Ability to Compare FractionsThe worksheet aims to strengthen the student's ability to evaluate and compare fractions. By solving the problems, students should understand how to discern whether a fraction is larger or smaller than another, recognizing the role of the numerator and the denominator in this process. Comparative signs in the problems should enforce this understanding. It is expected that students will develop their comparative skills with fractions via this worksheet.Fraction Addition and SubtractionA key accomplishment of completing the worksheet is the ability to add and subtract fractions. It should assist students in understanding the procedures of the addition and subtraction operations on fractions. They should be able to accurately add or subtract fractions with the same denominator, a keystone in fraction arithmetic.Problem-Solving SkillsThe worksheet is designed to equip the students with the crucial skill of problem-solving. By working through the problems, students should not only employ their knowledge of fractions but also their logical and analytical abilities. They should be proficient in understanding the problem’s requirements, devising a plan to solve the problem, successfully executing the plan and finally, reviewing the process.Enhancement of Numeracy SkillsAfter completing the worksheet, there should be an overall enhancement of the student's numeracy skills. The exercise of deduction, comparison and calculation involved in these maths problems should bolster the student's proficiency in dealing with numbers and mathematical problem-solving. The worksheet is designed to promote critical thinking and improve numeracy skills.
4nf2

×
Description:
"This worksheet is designed to educate children on the concept of fractions and their relation to half. Through 20 math problems, kids will enhance their numeracy skills and develop a better understanding of fractions. The worksheet can be customized according to individual learning needs, converted into flashcards for interactive study or used for distance learning, thereby offering a flexible, educational tool for children's mathematical development."

×
Student Goals:
Understanding Basics of FractionsAfter completing this worksheet, students should have a firm understanding of the basic principles of fractions, particularly in relation to halves. They will understand that a fraction represents a part of a whole and they will improve their ability to visualize this concept, enhancing their essential fraction comprehension. The exercises will improve their speed, efficiency, and accuracy in identifying and working with fractions.Comparing and Classifying FractionsThe worksheet will enable students to develop advanced skills in comparing and classifying fractions. Through their work with the problems, students will learn to differentiate between fractions that are more than, less than, or equal to half. This fundamental but important skill helps children appreciate the relative size of fractions, which is invaluable in advanced mathematical comprehension.Fraction Arithmetic SkillsAfter completing the worksheet, students should acquire hands-on practice in performing basic fractional arithmetic. Through the problems presented in the worksheet, students will fine-tune their ability to perform different mathematical operations with fractions, including addition, subtraction, multiplication, and division.Application of Fraction KnowledgeThe worksheet will also help students understand the applicability of fractions in real-life scenarios. After engaging with this worksheet, students will gain insight into how fractional knowledge can be transferred to everyday activities like cooking, shopping or sharing. Thus, making fractions less theoretical and more practical for students.Problem-Solving and Critical Thinking SkillsBy working on the problems in the worksheet, students will improve their problem-solving and critical thinking skills. Each problem will push them to think critically, strategize, and apply their fractional knowledge to find the best solution. These skills extend beyond mathematics, contributing to the overall intellectual development of the students.Foundation for Advanced MathematicsLast but not least, by mastering fractions in relation to halves, students will build a solid foundation for more advanced mathematical concepts. Fractions serve as a stepping stone to decimals, percentages, ratios, and algebra. With a firm grasp of fractional understanding, students will be well-equipped to tackle these advanced topics when they encounter them in higher grades.

×
Description:
"This worksheet is designed to enhance children's understanding of ordering fractions in mathematics. It contains ten carefully crafted problems, each presenting four fractions for learners to arrange in sequence. This user-friendly, versatile tool can be easily customized to meet individual needs, converted into flash cards for additional practice, or integrated into distance learning curriculums, offering a convenient and effective method for mastering this key mathematical concept."

×
Student Goals:
Understanding FractionsUpon completing the worksheet, students should have developed a deeper understanding of fractions. This knowledge will allow them to identify different fractions and understand their numerical value. The exercises will equip the students with the skill to distinguish between fractions and understand that fractions can represent the same or different quantities.Ordering FractionsBy the end of the worksheet, the learners should have mastered how to order fractions from the smallest to the largest, and vice versa. They will learn how to compare different fractions and place them in the correct order. This acquired skill will be essential in solving various mathematical problems and can also be useful in daily life scenarios, such as arranging things in sequence.Comparison SkillsPerforming these problems will enhance the students' comparison skills. They will be able to compare different fractions effectively. They will understand that bigger denominators do not necessarily mean bigger fractions. This will also improve their logical thinking skills as comparing fractions requires analytical reasoning. They will also learn how to use benchmark fractions to make comparisons easier.Problem Solving SkillsBy successfully completing this worksheet, students will improve their problem-solving skills significantly. They will be able to apply the knowledge they gained in a variety of settings and problems. Moreover, the students will learn how to deal with different fractions in mathematical equations, including those that might seem challenging at first.Number Sense and NumeracyUpon completion of this worksheet, the students' concept of number sense and numeracy will be improved. They will develop a greater sense of how fractions relate to whole numbers, and other fractions. This increased awareness will enable the students to appreciate the interconnectivity between fractions and better comprehend how they are used in various mathematical operations. They will also evolve their mathematical language which could help in advancing their overall numerical and mathematical abilities.Confidence BoostAfter finishing this worksheet, students should feel a boost in their confidence when dealing with fractions. The sense of accomplishment from successfully completing the problems can energize their learning process and stimulate a continued interest in learning more about math, particularly fractions. Moreover, this confidence could translate to other subjects, promoting a positive attitude towards academic learning in general.
Equivalent Fractions
Link
3nf3b

×
Description:
"This worksheet is designed to help children understand the concept of equivalent fractions in mathematics, using visually-appealing and clear examples. With 9 problems to solve, learners can engage in a hands-on approach to mastering this fundamental math topic. It offers multiple options as it can be customized to meet the learner's pace, converted into convenient flashcards for revision purposes, or seamlessly integrated into distance learning curriculums. This innovative learning tool merges fun and education."

×
Student Goals:
Understanding Equivalent FractionsUpon successfully completing the worksheet, students should have a comprehensive grasp on equivalent fractions. The ability to confidently identify and develop equivalent fractions is a fundamental part of progressing in the understanding of math. As equivalent fractions hold the same value, despite their different appearances, navigating the intricacies of their relationships is essential.Improving Fraction SimplificationThe presented problems on the worksheet incrementally introduce students to fraction simplification. By reinforcing the underlying principles of reducing fractions to their simplest form, pupils will improve their fraction simplifying abilities. This consolidates their knowledge of fractions in general, building a solid foundation for more advanced mathematical problems.Developing Skills in Problem SolvingExposed to a range of problems, the children will hone their problem-solving skills. The ability to approach questions from different angles is a key objective of this worksheet. Beyond mathematical proficiency, this skill is crucial for general learning and grappling with complex issues across various subjects.Increasing Confidence in Handling FractionsChildren will gain confidence in handling fractions, thereby reducing numeracy anxiety and improving academic performance. With proficiency in dealing with fractions, students should feel comfortable with numerical concepts, encouraging overall engagement in studying mathematics.Promoting Mathematical ReasoningThis exercise promotes the pupil's mathematical reasoning, nurturing their ability to identify patterns and relationships between numbers. The workbook serves to help students make links between different areas of mathematics, contributing to comprehensive and diverse mathematical proficiency.Enhancing Numerical FluencyGradual exposure to and practice of these problems will enhance student’s numerical fluency. With the visualization and normalization of fraction problems included, children will naturally begin to recognize common fraction problems and correlations between different fractions, promoting a stronger sense of number sense and ease with distinguishing numerical values.
3nf3a

×
Description:
"This worksheet is designed to help children understand and find equivalent fractions using number lines. By presenting eight diverse problems, it aids in converting abstract fraction concepts into visible representations. Each problem encourages the identification of equivalent fractions, fostering a solid grip on basic mathematical principles. Customizable for differing learning levels, this worksheet is an excellent resource for distance learning and can readily be transformed into flashcards for interactive education."

×
Student Goals:
Understanding Basic Fractions ConceptsAfter completing this worksheet, students should have a deep understanding of fundamental fraction concepts. They should be able to clearly define fractions and their parts (numerator and denominator), know how to ascertain fractions on a number line, and comprehend how fractions relate to the concept of division and portions.Develop Skill in Finding Equivalent FractionsStudents will acquire the crucial skill of determining equivalent fractions. Equivalent fractions are fractions that, despite having different numerators and denominators, represent the same proportion of a whole. By comparing fractions on a number line, students can visually interpret and identify equivalent fractions, thus reinforcing this key mathematical concept.Enhance Problem-Solving SkillsBy working on the worksheet, students will enhance their problem-solving skills, critical in mathematics. They should be capable of using established strategies (like using a number line) to solve a problem, analyze and interpret their results, and adjust their methods if necessary, thereby boosting their problem-solving abilities and cultivating mathematical thought.Improve Number SenseCompleting problems involving equivalent fractions on a number line will help students to establish better number sense. Number sense, the understanding of number relationships and the ability to make logical decisions about numbers, is a crucial part of early math learning. Students should have improved their ability to visualize and comprehend how numbers, particularly fractions, fit together.Foster Precision and AccuracyStudents should have cultivated precision and accuracy in their mathematical workings. From setting out their solutions neatly, to correctly positioning fractions on a number line, to accurately determining equivalent fractions - this worksheet will have taught the students to value accuracy in their computations and representations, a critical skill for more advanced math work.Promote Autonomy in LearningLastly, the worksheet encourages students to take charge of their learning by working independently. They should be able to complete similar exercises on their own, using the techniques and comprehension they've developed, fostering an attitude of self-reliance and confidence in their math abilities.
4nf1

×
Description:
"This worksheet is designed to strengthen children's understanding of reducing fractions in math. It contains 20 problems that teach students to simplify fractions by finding their lowest terms. Customizable for varied learning needs, it can be converted into flashcards or utilized in distance learning platforms for enhanced flexibility. A valuable resource for homeschooling, tutoring, or in-class learning."

×
Student Goals:
4nf1

×
Description:
"This worksheet is designed to help children grasp the concept of equivalent fractions in math. It features 20 interactive problems, with examples such as 1/6 equals 2/12, 7/9 equals 28/36, and 3/6 equals 30/60. Perfect for distance learning, the worksheet can be customized for individual needs and even converted into flashcards to further facilitate understanding. Enhance your child's math skills through this engaging and adaptable tool."

×
Student Goals:
Understanding Equivalent FractionsAfter completing this worksheet, students should have a strong understanding of equivalent fractions. This fundamental concept in mathematics is critical as it underpins many more complex areas of study within the subject. By practicing to find equivalent fractions, students improve their problem-solving abilities and enhance their mathematical reasoning.Enhancing Calculation SkillsWorking through the worksheet will also help students to refine their calculation skills, especially their division and multiplication abilities. By repeatedly identifying equivalent fractions, students will become more fluent and confident in performing these calculations, helping them to improve their overall math competency.Improving Number SenseThe worksheet encourages the development of a strong number sense, which is the understanding of what numbers mean and their relationship to one another. By finding equivalent fractions, students will actively explore the relationships between numbers, leading to a deeper comprehension of mathematics.Developing Pattern RecognitionAs students work through the problems in the worksheet, they will also have opportunities to recognize and predict patterns. This is an important mathematical skill that will support them in diverse areas of study, such as algebra and geometry.Applying Mathematical ConceptsAt the completion of the worksheet, students will not only have bolstered their understanding of equivalent fractions but will also have enhanced their ability to apply this knowledge. Whether solving more complex mathematical problems or using these skills in real-world situations, they will be equipped with a crucial knowledge base, helping them excel in future learning endeavors.Building ConfidenceFinally, with each problem they successfully solve, students are building their confidence in solving mathematical problems. Overcoming challenges faced in this worksheet can foster perseverance and resilience, which are beneficial not just for math but for every aspect of their learning journey.
4nf1

×
Description:
"This worksheet is designed to teach children about equivalent fractions through pattern recognition in math. It features 20 unique problems, where fraction equivalencies are visually represented in table format. The interactive nature of the content allows for customization, including the capacity to convert the worksheet into flash cards. This feature extends its usability, making it an excellent tool for distance learning and homeschooling environments."

×
Student Goals:
Understand Equivalent FractionsWith successful completion of this worksheet, students should develop a solid understanding of equivalent fractions. They should be able to recognize that different fractions can represent the same part of a whole, enhancing their numerical flexibility. This forms the basis for strong mathematical reasoning, feeding into other areas of number theory and arithmetic.Develop Problem-Solving SkillsThese carefully designed fraction problems should help students strengthen their problem-solving skills. By unraveling patterns and deducing the correct numerical value for each equivalent fraction, students exercise both inductive and deductive reasoning, preparing them for advanced math hurdles. This process refines their decision-making skills, teaching them to strategize and choose the most efficient route to a solution.Enhance Mental ArithmeticBeing repeatedly exposed to and working on these fraction problems will enhance students' mental arithmetic. They will be more comfortable and quicker at processing numbers mentally, which will be fruitful not just in mathematics, but across all subjects and day-to-day applications, increasing their number sense.Grasp Number PropertiesCompletion of this worksheet should aid students in grasping the properties of numbers, and how they interact in the context of fractions. They will have gained an understanding of the important mathematical concepts of ratio and proportion, thus extending their knowledge of numbers and paving the way for future mathematical learning.Application to Real-life SituationsThe learning attained from this worksheet extends beyond the classroom. It enables students to apply their knowledge to real-life situations. As fractions are ubiquitous in daily life scenarios, for instance, during cooking, shopping or time allocation in daily activities, comprehension of equivalent fractions can enhance practical problem-solving skills, empowering students to make accurate and efficient calculations.Builds a Foundation for Advanced MathUnderstanding fractions and equivalences, a subject matter of this worksheet, represents an essential mathematical concept that underlies more advanced topics. Successful completion will provide a solid foundation for future learning in fractions, decimals, pecentage calculations, algebra and even calculus. This core mathematical competency plays a crucial role in preparing students for advanced mathematical concepts and procedures.
4nf1

×
Description:
"This worksheet is designed to help children visually understand the concept of equivalent fractions in math. It provides 12 problems using vibrant diagrams to represent fractions and engage the student's interest. The flexible format allows it to be customized according to individual needs, converted into flashcards for easy review, or used in a distance learning setup to provide interactive math learning from home."

×
Student Goals:
Mastering Equivalent Fractions ConceptAfter successfully completing this worksheet, students should be able to confidently understand and demonstrate their knowledge of equivalent fractions. They will have gained much practice in finding equivalent fractions through visual aids which would significantly improve their skills. This worksheet is designed to aid them in visualizing what equivalent fractions look like, and how different fractions can represent the same value.Developing Problem-Solving AbilitiesSolving the problems presented in this worksheet would require students to engage their problem-solving skills. They will need to evaluate, analyze, and identify equivalent fractions. This worksheet will help enhance their cognitive development, fostering growth in analytical thinking and ability to recognize patterns. Over time, this will enhance the student's proficiency in working with other complex math problems.Boosting Confidence in MathMath can seem daunting to many students. However, having the ability to comfortably work through problems and see improvements serves as a confidence booster. As students find more success in dealing with these fraction problems, their confidence in their math skills is likely to increase. This, in turn, may foster a positive attitude towards learning and mastering other math topics.Application of Learned SkillsAfter completing the worksheet, students should be able to apply the skills they have learned to practical situations. The understanding of equivalent fractions can be used to simplify fractions or compare them. Moreover, they could apply these concepts when dealing with problems involving ratios, proportions, or probability, which they will encounter in more advanced math subjects.Fostering Self-Reliance and IndependenceThis worksheet is designed to promote self-reliance and independence. Students will find that they can work through the problems at their own pace, enhancing their ability to learn independently. This is a crucial lifelong learning skill that is applicable in many aspects of life beyond the classroom.
4nf4b

×
Description:
"This worksheet is designed to enhance children's understanding of equivalent unit fractions in mathematics. It includes 20 problems, providing examples of multiplication with fractions to produce equivalent unit fractions. The dynamic and adaptable format allows it to be customized according to individual learning needs: it can be transformed into flashcards for easy revision or seamlessly integrated into distance learning modules. A practical and versatile tool for reinforcing key mathematical concepts."

×
Student Goals:
Understanding of Unit FractionsStudents will gain a solid understanding of unit fractions. They will be able to define what a unit fraction is and identify it when it is presented in a mathematical problem.Mathematical Operations with Unit FractionsAfter completing the worksheet, students would have practiced various mathematical operations involving unit fractions. They will be adept at multiplying whole numbers with unit fractions and simplify the results. They will also be proficient in expressing product of whole numbers and fractions as a product of a whole number and a unit fraction using properties of operations.Problem Solving SkillsThe worksheet will improve students' problem-solving skills, making them confident to tackle similar problems on their own. By applying their knowledge of unit fractions to a set of unique mathematical problems, they will develop the ability to implement appropriate solving strategies.Accuracy and PrecisionBy engaging with 20 unique unit fraction problems, students will improve their accuracy and precision in their mathematical work. The repetitive practice will enhance their ability to calculate correctly, minimizing any mistakes.Readiness for Advanced Math ConceptsUpon completion of the worksheet, students will be ready to take on more advanced mathematical concepts. The foundation built through understanding and applying unit fractions will be helpful in understanding more complex ideas such as higher-level fractions, decimals, ratios and percentages.Increased Mathematical ConfidenceOnce students have successfully solved all 20 problems, their confidence in their own mathematical abilities would have significantly improved. This confidence can encourage a positive attitude towards math, reducing any related anxiety and enhancing overall academic performance.

×
Description:
"This worksheet is designed to enhance children's understanding of math by redistributing mixed number improper fractions. It features 20 problems with varying degrees of complexity, each revolving around a unique challenge in fraction conversion. Its flexible design allows it to be customized, transformed into flashcards, or integrated into distance learning for a versatile and comprehensive learning experience."

×
Student Goals:
Comprehension of Mixed Number and Improper FractionsAfter completing the worksheet, students should have a solid understanding of mixed numbers and improper fractions, appreciating how the two are deeply interconnected. They will be adept at converting between the two forms, enhancing their flexibility in numerical manipulation.Enhancement of Calculation SkillsThe completion of the worksheet will also aid in significantly improving students' calculation skills. As they work through the problems, they will be utilizing and bolstering fundamental arithmetical operations such as division which forms an integral part of numerical comprehension.Problem-solving AbilitiesThe worksheet will foster students' problem-solving skills. The nature of the problems will challenge students to apply learned concepts innovatively, stimulating their logical reasoning skills. This acquired prowess will equip them to tackle more complex math problems going forward.Readiness for Advanced ConceptsThe grounding in mixed numbers and improper fractions will prepare students to grasp more advanced mathematical concepts. Since fractions form a cornerstone of numerous complex ideas in mathematics, mastering them will aid students in understanding these subsequent topics without struggling.Familiarity with Math TerminologyCompletion of the worksheet will provide students with a familiarity of terminology used in arithmetic and number theory. Terms like numerator, denominator, mixed number, and improper fraction will become part of their regular vocabulary, aiding further mathematical learning.Confidence in Dealing with FractionsBy working through these problems, students will gain a sense of confidence and accomplishment in dealing with fractions. This instilled confidence will motivate them to approach future mathematical challenges positively, fostering a love for learning and comprehension in them.
3nf3c

×
Description:
"This worksheet is designed to teach children the concept of interpreting whole numbers as fractions. With 10 interactive problems, learners are tasked to identify whole numbers represented by different fractions. Adaptable to multiple learning formats, the worksheet can be customized, transformed into flash cards, or effortlessly incorporated into distance learning programs, making math engaging and accessible for young learners."

×
Student Goals:
Understanding of FractionsUpon completion of the worksheet, students should have an enhanced understanding of fractions. They will be familiar with the concept that whole numbers can also be represented as fractions as they can identify different fractions that correspond to the same whole number. This will significantly improve their ability to manipulate and work with fractions, an essential component of mathematics.Problem-solving SkillsThis worksheet aids in developing problem-solving skills among students. They will learn to apply their mathematical knowledge to identify or select the best fractional representation of a given whole number. Through this process, students gain experience in breaking down problems and making informed decisions, thus cultivating their problem-solving abilities in general.Increased AccuracyRegular practice with such worksheets increases accuracy in handling fractions. This improved accuracy will come in handy while dealing with more complex mathematical problems later on. It will also reduce the likeliness of making errors, enhancing students' overall mathematical competence.Foundation for Advanced TopicsCompleting this worksheet lays a strong foundation for learners to understand and grasp more advanced mathematical topics. The understanding that whole numbers can also be fractions forms the basis of many complex mathematical applications and is crucial for later subjects such algebra and trigonometry.Confidence BoostSuccessfully completing this worksheet will boost students' confidence in their mathematical abilities. This confidence often translates into increased participation in class and improved performance in tests and exams. Confidence in one's mathematical abilities is crucial for academic success in this subject and can also fuel interest in learning more advanced mathematical concepts.Mathematical Language UnderstandingThis worksheet also helps students in understanding and using the mathematical language effectively. They acquire the ability to read, interpret, and write mathematical equations accurately, thus improving their mathematical communication skills.

×
Description:
"This worksheet is designed to teach children equivalent fractions using whole numbers. With 18 customizable math problems, students learn to identify proper fractions equivalent to given whole numbers. A valuable aid for distance learning, this versatile worksheet can also be converted into interactive flashcards, offering a flexible, engaging route to mastering essential math concepts."

×
Student Goals:
Understanding Equivalent FractionsUpon completion of this worksheet, students should have a solid understanding of equivalent fractions. They should be able to determine the equivalence of a whole number to a fraction by representing the whole number as the numerator and the denominator as 1. This exercise serves as a foundational learning tool for the concept of fractions as representations of whole numbers. It will provide them with tools needed for more complex fraction lessons in the future.Applying Mathematical ReasoningStudents should be able to apply their mathematical reasoning skills to solve problems accurately. They should be able to understand that whole numbers can be represented as fractions, and be able to calculate equivalent fractions. This demonstrates a knowledge of the fundamental properties of numbers and mathematical operations, formed through the practice of these worksheets.Learning Problem-Solving TechniquesAfter finishing the worksheet, learners should have gained valuable insight into techniques for solving fraction equivalencies. Methodically making sense of mathematical problems is vital in grasening the math concepts. These techniques will also be valuable when learners face more complex problems in future math lessons.Improving Computational SkillsThe worksheet should also aid in improving students' computational skills. By working through each problem, they can reinforce their knowledge of fundamental arithmetic principles. These skills are important not only in more advanced mathematics courses but also in daily life where fundamental arithmetic is commonly used.Promoting Logical ThinkingBy end of this worksheet, students should have improved their logical thinking skills, a tool vital for mathematical success. Understanding and applying the concept of equivalent fractions requires precise logical thought - an indispensable skill that goes beyond the classroom into daily decision-making scenarios.Reinforcing Consistent PracticeFinally, the conclusion of this worksheet should encourage students to understand the importance of consistent practice in mastering mathematical concepts. Tackling a good number of problems (18 in this worksheet) enables students to repeatedly apply new knowledge, invariably leading to better retention and understanding.
3nf3c

×
Description:
"This worksheet is designed to enhance children's understanding of expressing fractions numerically. With 14 engaging math problems, it provides an excellent learning tool for mastering fractions, supporting individual learning pace. Remarkably, the worksheet is customizable to students' needs, can be converted into interactive flashcards, and is perfect for distance learning. A comprehensive resource cultivating mathematical proficiency."

×
Student Goals:
Converting Fractions
Link
3nf3c

×
Description:
"This worksheet is designed to enhance children's math skills by focusing on converting fractions to whole numbers. With 20 unique problems, examples include transforming fractions such as 32/8, 90/10, and 56/8 into whole numbers. The customizable nature allows this worksheet to be converted to flashcards or adopted in distance learning scenarios, providing a versatile approach to mastering essential math concepts."

×
Student Goals:
Understanding of Fractions and Whole NumbersUpon successful completion of this worksheet, students should have a clear understanding of the relationship between fractions and whole numbers. This understanding serves as a fundamental building block in grasping the broader concepts in mathematics. The exercises included allow students to transform fractions into their equivalent whole numbers, strengthening their knowledge and application of division and multiplication.Enhanced Computational SkillsWorking through these problems encourages students to apply their mental math skills, specifically in division. This strengthens their overall arithmetic abilities, and with regular practice, students should find that these computations become easier and quicker.Critical Thinking and Problem-Solving SkillsEach fraction to a whole number problem requires students to use problem-solving and critical thinking. They need to recognize the relationship involved in changing fractions to whole numbers. This will improve their ability to analyze mathematical equations or problems and develop strategic ways to find solutions.Familiarity with Number PatternsSolving these fractional problems also allows students to notice number patterns, which is an integral part of number sense. Observing how numbers relate to each other in fractions and how they translate into whole numbers will help build logic and reasoning skills.Boosted Confidence with MathThis worksheet provides a gradual progression in its difficulty level from simpler to more complex transformations. Upon completion, students should gain confidence in handling fractions and whole numbers, ultimately making them feel more at ease with the subject of Math.Preparation for More Advanced Math TopicsThe core concepts of fractions and whole numbers form the basis for more complex mathematical topics that students will encounter later on, such as ratio and proportion, geometry, and algebra. Hence, mastering this worksheet aligns with preparing students for advanced math endeavors.
4nf3c

×
Description:
"This worksheet is designed to help children understand the conversion of improper fractions to mixed number fractions in math. With 20 customizable problems, it serves as a hands-on tool for instilling this key concept. As an added benefit, it can easily be converted into flashcards or incorporated into distance learning programs, making it a versatile educational resource."

×
Student Goals:
Understanding Improper Fractions and Mixed NumbersAfter successfully completing the worksheet, students should have a concrete understanding of improper fractions and mixed numbers. They should be able to differentiate between these two types of fractions and understand the relationship and conversion process between them. Students should be knowledgeable about the fact that an improper fraction is simply a fraction whose numerator is greater than the denominator, while a mixed number includes a whole number and a fraction combined.Fraction Conversion ProficiencyThe worksheet is designed to enhance proficiency in converting improper fractions to mixed numbers. This key skill is not only applicable in the realm of math but also plays a significant role in real-life scenarios such as measurements, cooking, and more. Understanding how to convert these numbers confidently is a fundamental skill in math, and this worksheet is an excellent tool for refining this ability.Problem Solving and Critical ThinkingBy solving the 20 problems in this worksheet, students should develop their problem-solving skills, increasing their ability to approach a math problem logically, work through potential solutions, and arrive at the correct answer. Critical thinking is a crucial element in math, and this exercise helps to address that while also reinforcing understanding of fractions.Solid Mathematical FoundationCompleting this worksheet contributes to a strong foundational understanding of fractions, which is vital in advancing to more complex mathematical concepts such as algebra and geometry. By mastering fractions, including improper fractions, and mixed numbers, students are setting the stage for future success in mathematics as these principles reappear in more advanced topics.Confidence BuildingThis comprehensive worksheet aids in building confidence in mathematics. As students successfully convert improper fractions to mixed numbers, their confidence in their mathematical abilities should increase. This confidence can then translate into overall academic success, as it inspires students to tackle other potentially challenging topics with a positive, can-do attitude.
4nf3c

×
Description:
"This worksheet is designed to strengthen children's math skills specifically in converting mixed number fractions to improper fractions. Containing 20 problems, the subject matter revolves around numeracy and mathematical understanding. The worksheet is fully customizable to suit individual learning needs and is versatile enough to be converted into flash cards or utilized for distance learning platforms, supporting various teaching and learning styles."

×
Student Goals:
Understanding of FractionsUpon completion of this worksheet, students should have a firm understanding of what fractions are, how they function, and how they are represented numerically. They should be able to easily identify and understand both mixed number fractions and improper fractions, recognizing the difference between these two types of fractions and understanding the contexts in which each might be used.Conversion SkillsStudents will develop their skills in converting between mixed number fractions and improper fractions. This includes learning how to convert complex mixed number fractions into simpler, more manageable improper fractions, thus simplifying their usage in further calculations. This skill is crucial for more advanced mathematical operations, as it enables students to work more easily with complex fractions.Problem-Solving AbilitiesWorking through the problems on this worksheet will enable students to strengthen their problem-solving abilities, enhancing their critical thinking skills and boosting their confidence in tackling mathematical problems. Confronted with 20 problems to solve, students would be improving their ability to handle mathematical challenges independently.Numeracy Skills EnhancementThe worksheet is designed to enhance the numeracy skills of the students, as they maneuver the conversion between mixed numbers and improper fractions. This will inevitably sharpen their basic arithmetic skills, as well as their ability to mentally calculate and estimate mathematical results.Preparation for Advanced ConceptsWorking on this worksheet should give students an excellent basis for tackling more advanced concepts in math. Being comfortable with fractions is a foundational aspect of many more advanced mathematical disciplines, meaning that this worksheet will contribute to the preparation of the students for future math topics. Converting between mixed numbers and improper fractions can be seen in algebra, trigonometry, and calculus, making it fundamental for mathematical advancement.Increased Math ConfidenceFinally, successfully completing this worksheet should give students a boost in their math confidence. Being able to understand and work with fractions is a key aspect of many areas of mathematics. Thus, good performance on this worksheet means they're making significant progress in their mathematical journey. This demonstrates their ability to understand and apply complex mathematical concepts, boosting their self-confidence and encouraging further study.

×
Description:
"This worksheet is designed to simplify learning for children with 11 tailored math problems on improper and mixed fractions. It enhances pupils' familiarity with fundament fractions and the transition between them. The worksheet is customizable and can be converted into flashcards for interactive learning. It's a perfect resource for distance learning, offering a comprehensive approach to understanding fundamental math concepts."

×
Student Goals:
Understanding of ConceptsAfter completing the worksheet, students should have a thorough understanding of the concepts of improper and mixed fractions. They should be able to differentiate between these types of fractions, and know how and when to use each one in different contexts. This understanding is fundamental in many areas of math, and can form the basis for learning more advanced concepts in the future.Problem Solving SkillsStudents should be able to apply the concepts they have learned to solve problems. They should be able to read a question, determine what is being asked, and choose the appropriate method to find the solution. They should also be able to check their own work, and understand why their answers are correct or incorrect. This skill of problem-solving is not just crucial for math, but for other subjects and life situations as well.Critical Thinking AbilitiesWorking through these problems will require students to use critical thinking skills. They will need to decide which type of fraction to use based on the problem's situation and context, and they might need to convert between improper and mixed fractions. This worksheet consequently aids in developing strategic thinking and decision-making skills.Confidence in MathBy working through the problems in this worksheet, students should gain confidence in their ability to work with improper and mixed fractions. They should feel reassured and prepared for more complex or advanced work in the future. The more practice they get, the more their confidence will grow.Application to Real-World ScenariosAfter completing the worksheet, students should be able to apply their knowledge of improper and mixed fractions to real-world scenarios. This comprehension will make learning more relevant and meaningful, as students come to understand the practical applications of the concepts they are learning.
Comparing Fractions, Decimals & Percents
Link
4nf6

×
Description:
"This worksheet is designed to reinforce children's understanding of comparing fractions. With a series of 20 customisable problems, it provides interactive numeric exercises to identify which fraction is greater or lesser. Ideal for distance learning, this dynamic tool can also be converted into flash cards, proving invaluable for mastering the vital math skill of fraction comparison."

×
Student Goals:
Understanding of FractionsAfter completing this worksheet, students should have a firm understanding of fractions. They will be able to identify numbers represented as fractions and interpret the value represented by each fraction. This is crucial because understanding of fractions is foundational in many mathematical and real-world contexts.Comparative SkillsStudents will develop their comparative skills by determining the relative value of two fractions. They will be adept at telling if a fraction is greater, less, or equal to another, aiding in decision making, problem-solving and cognitive development.Fraction NormalizationStudents will be able to normalize fractions to ensure they are in their simplest form. This will enhance students' fractions comprehension and provides a solid basis for advancing to more complex fraction problems.Mathematical ConfidenceAfter successfully completing the worksheet, students should be more confident in their mathematical abilities. Having gained some proficiency in one of the core concepts in mathematics, they would perceive math problems not as challenges but rather situations they can handle.Practical Mathematical ApplicationIt instills in students the realization that math can be applied practically to solve real-world problems. Comparing fractions is an essential skill in many situations including cooking, construction, and financial management.Numerical FluencyBy consistently practicing and resolving the problems, pupils will enhance their numerical fluency, or the ability to manipulate numbers and mathematical expressions comfortably. Increased numerical fluency leads to better comprehension of more advanced mathematical concepts.Enhancement of Cognitive AbilitiesThe process of comparing fractions requires a high level of cognitive function, including analysis and critical thinking. By working through the problems on this worksheet, students will enhance their cognitive abilities, which have widespread benefits across many aspects of life.
4nf6

×
Description:
"This worksheet is designed to aid in understanding the relation between fractions, decimals, and percentages. With 17 problems, it gives children hands-on practice in converting between these equivalent forms of numbers. Highly customizable, the worksheet can be adapted to fit different learners' needs, successfully converted into flashcards, or seamlessly integrated into distance learning curricula, providing an engaging tool to enhance math proficiency."

×
Student Goals:
Master the concept of equivalent fractions, decimals and percentagesAfter completing this worksheet, students should have a thorough understanding of the concept of equivalency among fractions, decimals, and percentages. They should be able to seamlessly convert a value from one form to another, showing a solid understanding of the integral relationships between these three mathematical representations.Develop computational skillsThis practice will foster students' computational skills, necessary for more advanced mathematical procedures. They would be well-versed with calculations involving the transition from fractions to decimals to percentages and vice-versa, enhancing their ability to calculate quickly and accurately.Promote problem-solving abilityBy working through the problems in this worksheet, students will improve their problem-solving skills. They will learn how to approach and solve complex problems involving fractions, decimals, and percentages. This practice will encourage critical thinking and logical reasoning, fundamental skills that are used in everyday life and other academic subjects.Amplify number senseCompletion of this worksheet will enhance students' number sense. It would promote a deeper understanding of the nature of numbers and their relationships, particularly in the context of fractions, percentages, and decimal values. This translates into improved mathematical intuition and a swift sense for number manipulation.Improve precision and attention to detailHandling fractions, decimals, and percents would help students fine-tune their precision and heighten their attentiveness to detail. As comprehension of these topics demands meticulous calculation and exactness, students will strengthen these qualities through consistent practice.Boost confidence in mathSuccessfully completing this worksheet means not only understanding the relationship between fractions, decimals, and percentages but also being adept at manipulating them. This mastery can result in greater confidence while facing math problems, which can in turn encourage a positive mindset towards learning new mathematical concepts.
4nf6

×
Description:
"This worksheet is designed to enhance children's understanding of the correlation between fractions, decimals, and percentages using clear visual aids. It offers 11 unique problems, enabling students to apply their learned concepts practically. Educators can customize this versatile resource, creating flashcards for a more interactive experience or integrating it into distance learning curricula. This focused approach aids in building a solid foundation for more complex mathematical concepts."

×
Student Goals:
Understanding of Basic Mathematical RepresentationStudents should demonstrate a solid grasp of basic mathematical representation by successfully completing each problem in the worksheet. This includes understanding fractions, decimals, and percentages, and their relations. They should be able to confidently convert fractions to decimals and percentages, and vice versa, thus displaying proficiency in manipulating different mathematical forms.Mathematical Literacy DevelopmentBy the completion of the worksheet, students should have improved their mathematical literacy. They're set to have deepened their understanding of mathematical concepts and terminology, especially those pertaining to fractions, decimals, and percentages. A boosted level of mathematical literacy will make them better at quickly recognizing and processing mathematical patterns, which is a key skill that will benefit them in future advanced mathematical endeavors.Analytical Skills EnhancementAfter engaging with the worksheet, students are expected to have enhanced their analytical skills. By navigating from fractions to decimals to percentages, and correlating their common value, students will have strengthened their analytical thinking. This is a critical skill not just in mathematics but in problem-solving in other academic spheres and real-life situations. It helps develop an independent thinking process that is essential to make them successful learners.Comprehension of Practical ApplicationsUpon completion, students are projected to appreciate the practical applications of what they have learnt. Fractions, decimals, and percentages are not just theoretical mathematical concepts; they come to life in many everyday scenarios. Whether it's managing personal finances, planning baking recipes, or analyzing sports statistics, these concepts are widely used. Understanding them can thus empower students to navigate their everyday life more effectively.Confidence in Mathematical AbilitiesFinally, students should gain enhanced confidence in their mathematical abilities. Successfully solving these exercises will give them a strong sense of achievement and boost their academic confidence. This belief in their own capabilities will motivate them to approach more challenging mathematical problems in the future with less fear and more determination. In learning, confidence is key, and through mastering this worksheet, students are setting up a positive foundation for all future learning.
4nf6

×
Description:
"This worksheet is designed to help children master the concept of converting fractions to decimals in a fun, engaging way. It offers 20 math problems where kids convert typical fractions into their decimal equivalents. Its interactive format offers adaptability and can be customized to suit individual learning needs. It could even be transformed into flash cards for additional practice or used in a distance learning environment to ensure continuous and effective learning."

×
Student Goals:
Understanding Fractions and DecimalsAfter completing the worksheet, students will have a clear understanding of how fractions and decimals are related. They will be able to effortlessly convert fractions to decimals and will know the underlying process behind it. This fundamental knowledge will allow them to navigate more complex math problems with ease.Mastery of Arithmetic SkillsBy practicing with twenty problems, students will achieve mastery in the arithmetic required to convert fractions into decimals. Their computation skills, coupled with an understanding of the place-value system used in decimals, will be significantly improved, enhancing their overall mathematical capabilities.Improved Problem-Solving SkillsThis worksheet is designed to foster mathematical inquiry, encouraging students to independently solve problems. After successful completion, they will have improved their problem-solving skills, which can be applied to other math topics and real-world scenarios.Boost in Mathematical ConfidenceBy successfully converting fractions to decimals, students will experience a significant boost in confidence, making them more likely to engage with mathematical topics in the future. This essential trust in their abilities can contribute positively to their overall academic performance.Preparation for Advanced Mathematical ConceptsThe knowledge of converting fractions to decimals is an integral part of more advanced mathematical concepts like algebra, percentage calculations, and data interpretation. Therefore, after completing the worksheet, students will be well-prepared for tackling these advanced topics when they encounter them.Enhancement of Analytical SkillsThe process of converting fractions to decimals involves step-by-step logical reasoning. As students navigate through these steps, they enhance their analytical skills — a trait that’s not only important in mathematics, but also beneficial in other subject areas and in everyday life.
4nf6

×
Description:
"This worksheet is designed to instruct students on the subject of mathematics, specifically converting decimals to fractions. With 20 problems that visualize decimal values equaling to fractions, it provides engaging examples and practical exercises. Flexible for any learning environment, this worksheet is customizable, can be effortlessly converted into flash cards, and is suitable for distance learning, making it an adaptable educational resource."

×
Student Goals:
Understanding of Decimals and FractionsAfter completing the worksheet, students will have a firm understanding of decimals and their corresponding fractions. They should grasp the important concept that fractions and decimals are just two different ways of expressing the same value. This understanding provides a strong foundation for more advanced mathematical concepts.Conversion SkillsThe completion of the worksheet will equip learners with the necessary skills to convert decimals into fractions effortlessly. They will understand the systematic process involved in transforming a decimal into both its reduced and non-reduced fraction forms. This skill is central to many aspects of mathematics and is crucial for subsequent learning stages.Enhanced Problem-Solving AbilitiesWorking through the problems on this worksheet requires logical reasoning and problem-solving skills. The students will be better at diagnosing the problem, understanding the steps it takes to solve it, and applying this approach to different, yet similar problems. These enhanced abilities extend well beyond mathematics and are beneficial to all other subjects.Confidence in MathematicsSuccessfully converting decimals to fractions can boost the confidence of the learners. Building assurance in their mathematical abilities will encourage them to tackle more challenging problems without fear of failure. This confidence is pivotal in stimulating a positive attitude towards mathematics and other numeracy-based subjects.Preparation for Advanced MaterialThe ability to convert decimals to fractions is important in higher mathematical contexts such as algebra, geometry, and calculus. By honing these skills now, students will be better prepared to manage future mathematical coursework. This worksheet sets the groundwork for these critical, more advanced mathematical concepts.Real-World ApplicationThe ability to convert decimals to fractions has many practical, real-world applications, including but not limited to understanding scientific data, making accurate financial decisions, or even dividing recipes in cooking. By mastering this skill, students will be able to handle numbers in various real-life situations more efficiently.

×
Description:
"This worksheet is designed to help children understand and compare fractions to decimals using a number line. Covering ten unique problems, each offering a distinct challenge, it includes anything from contrasting halves to finding the larger of two fourths or ninths. The compact, visual approach helps in distance learning and can be converted to flashcards for personalized revision. The customizable design encourages students to drill down into their problem areas, promoting mathematical competence and confidence."

×
Student Goals:
Understanding Fractions and DecimalsUpon successful completion of this worksheet, students should have a heightened understanding of fractions as well as decimals, and the correlation between them. They should be able to comfortably convert fractions into decimals and vice versa, demonstrating a practical appreciation of their interchangeable nature. This fundamental skill is pivotal in understanding and solving advanced mathematic problems.Understanding Number LineThrough the visualization tool of number lines, students will learn how to represent both fractions and decimals on the same scale. This comprehension helps students to contextualize fractions and decimals in relation to one another, thereby gaining a clearer picture of cardinality and ordering of numbers. This solidifies their understanding of relative values and comparisons, a crucial mathematical concept.Developing Analytical SkillsBy observing and comparing the relative magnitudes of fractions and decimals, students would develop more robust analytical skills. This skill is not confined to mathematics but is also applicable across other subjects and everyday life situations. They would become more proficient at examining parts to whole relationships and making quick and accurate decisions based on numerical data presented in different forms.Enhancing Problem Solving CapabilitiesThe worksheet promotes critical thinking as students must determine which quantity, a fraction or a decimal, is greater. Solving these problems helps enhance their problem solving skills, a skill that is not only restricted to the realm of academics but is also highly beneficial in practical life situations. The ability to problem-solve effectively is extensively considered to be a highly valued skill, in both education and the workplace.Strengthening Mathematical FluencyPracticing with a variety of fractions and decimals will boost students' mathematical fluency. Mastery over these essential numerical representations can lead to an increase in confidence and overall performance in mathematics. This worksheet aids in fostering a positive attitude towards mathematics, as students achieve competency over the crucial skill of comparing fractions and decimals.

×
Description:
"This worksheet is designed to help children strengthen their understanding of fractions and decimals within a practical context. Through identifying shaded and un-shaded portions of a number wheel, learners will get hands-on experience with six mathematical problems. The adaptable format allows for customization, conversion into flashcards, or usage in distance-learning environments - providing a versatile tool to support diverse learning needs."

×
Student Goals:
Understanding of Fractions and DecimalsAfter completing the worksheet, students should have gained a strong understanding of fractions and decimals. They should be comfortable with identifying both in various contexts, specifically in visual representations such as number wheels. This understanding is critical, as fractions and decimals form the basis for many mathematical concepts they will encounter in the future.Problem-Solving AbilitiesThe completion of this worksheet requires and thus enhances problem-solving abilities. By determining the correct decimal or fraction that represents a shaded or un-shaded portion of a number wheel, students will sharpen their problem-solving skills. They will also improve their ability to use logical reasoning to eliminate incorrect answers and triangulate on the correct one.Conversion SkillsFractions and decimals often represent the same values in different formats. Students completing this worksheet will have the capability to convert between the two. As an essential skill in math, this understanding will enable students to better grasp complex math concepts down the line.Mathematical ConfidenceAbove all, successfully completing this worksheet will give students increased confidence in their math abilities. The mastery of fundamental concepts like fractions and decimals is vital to developing a positive outlook towards math. This newly found confidence could encourage them to tackle more advanced math problems with enthusiasm.Attention to DetailWorking through these problems strengthens a student's attention to detail. This skill is not only applicable in Mathematics but also essential in various aspects of life. The precise nature of the problems will train students to be meticulous and thorough in their approach to problem-solving.

×
Description:
"This worksheet is designed to help children understand the connection between fractions and decimals using a number wheel. It provides 8 problems each geared toward interpreting shaded and un-shaded portions of a circle in terms of fractions out of 100 and decimal equivalents. Ideal for distance learning, it can be personalized to match each learner's capabilities. Additionally, it offers a unique twist as the problems can be converted into handy flashcards for further practice and review."

×
Student Goals:
Understanding of Fractions and DecimalsAfter completing this worksheet, students should have gained a solid understanding of fractions and decimals. They will have comprehended how fractions and decimals are two different ways of expressing the same part of a whole. They would be able to seamlessly go back and forth between fractions, where the denominator is either 10 or 100, and their equivalent decimal representations.Interpretation of Graphical RepresentationsThese tasks also aim to develop students' abilities to interpret graphical representations of fractions and decimals. As they determine the shaded and unshaded portions of a number wheel, they will be utilising their skills in observation, analysis, and critical thinking.Application of Mathematical ConceptsFurthermore, students will have developed their aptitude for applying mathematical concepts in various contexts. This is portrayed through the use of a number wheel to visually demonstrate the concepts of fractions and decimals. They ought to have learned to use this representation effectively, which can be beneficial when dealing with more complex problems in the future.Problem-solving and Decision-making SkillsBy solving the problems presented in this worksheet, students should have improved their problem-solving abilities as well as their decision-making skills. They would have extrapolated the relevant information from the number wheel to determine the answers. This training in taking accurate decisions based on information at hand is a valuable tool applicable beyond math.Increased Mathematical ConfidenceLast but not least, the achievement of having completed the worksheet aids in building their mathematical confidence. Each successfully solved problem reinforces their understanding of fractions and decimals, thereby increasing their confidence in dealing with them. Moving forward, this confidence could positively impact their overall mathematical learning journey.